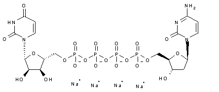
【药物名称】Denufosol tetrasodium, dCp4U, INS-37217
化学结构式(Chemical Structure):
参考文献No.44980
标题:Certain dinucleotides and their use as modulators of mucociliary clearance and ciliary beat frequency
作者:Rideout, J.L.; Pendergast, W.; Yerxa, B.R.; Siddiqi, S.M. (Inspire Pharmaceuticals, Inc.)
来源:JP 2001526635; US 6348589; WO 9834942
合成路线图解说明:

Uridine-5'-triphosphate (I) is converted to the tributylamine salt, which is then activated as the cyclic metaphosphate (II) employing DCC. Subsequent coupling of the cyclic phosphate (II) with 2'-deoxycytidine-5'-monophosphate (III) in the presence of Bu3N gives rise to the target tetraphosphate compound.

Drug Information Express,Drug R&D,Chemical Database,Patent Search.
Copyright © 2006-2026 Drug Future. All rights reserved.Contact Us