【药物名称】332235, SB-332235
化学结构式(Chemical Structure):
参考文献No.43902
标题:Hydroxy diphenyl urea sulfonamides as IL-8 receptor antagonists
作者:Widdowson, K.L.; Jin, Q.; McCleland, B.W.; Palovich, M.R. (GlaxoSmithKline Inc.)
来源:EP 1161232; JP 2002532419; US 6500863; WO 0035442
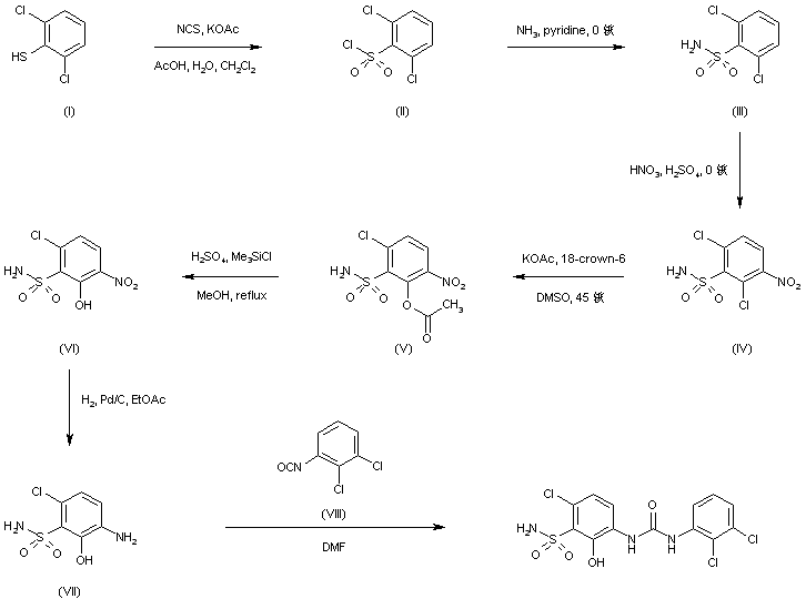
合成路线图解说明:

2,6-Dichlorobenzenethiol (I) is oxidized to the sulfonyl chloride (II) employing N-chlorosuccinimide. Subsequent treatment of acid chloride (II) with ammonia in cold pyridine provides sulfonamide (III). Reaction of (III) with HNO3 in the presence of concentrated H2SO4 leads to the nitro derivative (IV). Then, displacement of one chloride group of (IV) with potassium acetate in the presence of crown ether gives rise to the acetate ester (V), which is further hydrolyzed to phenol (VI) under acidic conditions. Nitro group reduction in (VI) with H2 and Pd/C affords aniline (VII). Finally, coupling of (VII) with 2,3-dichlorophenyl isocyanate (VIII) produces the title diaryl urea. (1,2)

参考文献No.59637
标题:Methods of synthesizing phenol-containing cpds.
作者:Widdowson, K.L.; Palovich, M.R. (GlaxoSmithKline Inc.)
来源:EP 1383488; WO 0279122
合成路线图解说明:

2,6-Dichlorobenzenethiol (I) is oxidized to the sulfonyl chloride (II) employing N-chlorosuccinimide. Subsequent treatment of acid chloride (II) with ammonia in cold pyridine provides sulfonamide (III). Reaction of (III) with HNO3 in the presence of concentrated H2SO4 leads to the nitro derivative (IV). Then, displacement of one chloride group of (IV) with potassium acetate in the presence of crown ether gives rise to the acetate ester (V), which is further hydrolyzed to phenol (VI) under acidic conditions. Nitro group reduction in (VI) with H2 and Pd/C affords aniline (VII). Finally, coupling of (VII) with 2,3-dichlorophenyl isocyanate (VIII) produces the title diaryl urea. (1,2)

Drug Information Express,Drug R&D,Chemical Database,Patent Search.
Copyright © 2006-2026 Drug Future. All rights reserved.Contact Us