【药物名称】NO-Mesalamine, NO-5-ASA, NCX-456
化学结构式(Chemical Structure):
参考文献No.42168
标题:Medicine nitrate salts
作者:Del Soldato, P. (NicOx SA)
来源:WO 0006585
合成路线图解说明:

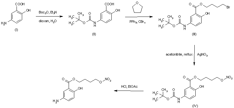
5-Amino-2-hydroxybenzoic acid (I) was protected as the N-Boc derivative (II) by treatment with di-tert-butyl dicarbonate and Et3N. Reaction with triphenylphosphine and carbon tetrabromide in tetrahydrofuran generated the bromobutyl ester (III). After conversion of (III) to the nitroxybutyl ester (IV) by reaction with AgNO3 in refluxing acetonitrile, acid deprotection of the Boc group furnished the title compound.

Drug Information Express,Drug R&D,Chemical Database,Patent Search.
Copyright © 2006-2026 Drug Future. All rights reserved.Contact Us