【药物名称】2-Benzylthio-ATPalphaS
化学结构式(Chemical Structure):
参考文献No.548637
标题:2-Thiother 5'-O-(1-thiotriphosphate)adenosine derivatives as new insulin secretagogues acting through P2Y-receptors
作者:Fischer, B.; Chulkin, A.; Boyer, J.L.; Harden, K.T.; Gendron, F.P.; Beaudoin, A.R.; Chapal, J.; Hillaire-Buys, D.; Petit, P.
来源:J Med Chem 1999,42(18),3636
合成路线图解说明:

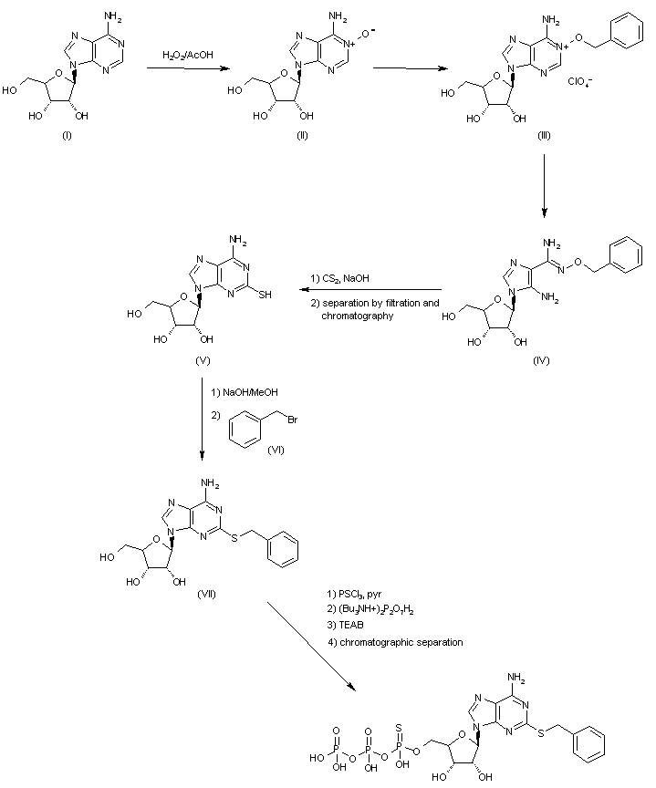
Treatment of adenosine (I) with H2O2 and HOAc affords N-oxide (II), which is converted into the benzyloxime (IV) via N-benzyloxyadenosine perchlorate (III). Treatment of (IV) with CS2 and NaOH in MeOH followed by separation by filtration and chromatography yields 2-thioadenosine (V), which is then converted into the sodium thiolate salt by treatment with NaOH in MeOH and condensed with benzylbromide (VI) in DMF, providing derivative (VII). Finally, conversion of (VII) into the target compound is achieved by following these steps: (i) treatment of (VII) with thiophosphoryl chloride (PSCl3) in pyridine; (ii) addition of a mixture of Bu3N and (Bu3NH+)2P2O7H2 in DMF; and (iii) treatment with TEAB and chromatographic separation of regioisomers.

参考文献No.614276
标题:Platelet aggregation inhibitors. IX. Chemical transformation of adenosine into 2-thioadenosine derivatives
作者:Kikugawa, K.; Suehiro, H.; Yanase, R.; Aoki, A.
来源:Chem Pharm Bull 1977,25(8),1959
合成路线图解说明:

Treatment of adenosine (I) with H2O2 and HOAc affords N-oxide (II), which is converted into the benzyloxime (IV) via N-benzyloxyadenosine perchlorate (III). Treatment of (IV) with CS2 and NaOH in MeOH followed by separation by filtration and chromatography yields 2-thioadenosine (V), which is then converted into the sodium thiolate salt by treatment with NaOH in MeOH and condensed with benzylbromide (VI) in DMF, providing derivative (VII). Finally, conversion of (VII) into the target compound is achieved by following these steps: (i) treatment of (VII) with thiophosphoryl chloride (PSCl3) in pyridine; (ii) addition of a mixture of Bu3N and (Bu3NH+)2P2O7H2 in DMF; and (iii) treatment with TEAB and chromatographic separation of regioisomers.

Drug Information Express,Drug R&D,Chemical Database,Patent Search.
Copyright © 2006-2026 Drug Future. All rights reserved.Contact Us