【药物名称】JTT-705
化学结构式(Chemical Structure):
参考文献No.37170
标题:CEPT activity inhibitors
作者:Maeda, K.; Okamoto, H.; Shinkai, H. (Japan Tobacco Inc.)
来源:EP 1020439; JP 1999049743; JP 1999222428; WO 9835937
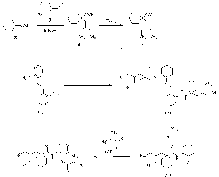
合成路线图解说明:

Cyclohexanecarboxylic acid (I) is condensed with 1-bromo-2-ethylbutane (II) by means of lithium diisopropylamide (LDA) (NaH can also be added ) in THF or THF/cyclohexane to afford derivative (III). Treatment of carboxylic acid (III) with oxalyl chloride in CH2Cl2 (a small amount of DMF can be added) yields acid chloride (IV), which is then coupled with bis(2-aminophenyl) disulfide (V) in pyridine to provide disulfide derivative (VI). Reduction of the disulfide bond of (VI) with PPh3 in dioxane/H2O gives benzenethiol (VII), which is finally coupled with isobutyryl chloride (VIII) in pyridine/CHCl3 to furnish the target compound.

参考文献No.593349
标题:Bis(2-(acylamino)phenyl) disulfides, 2-(acylamino)benzenethiols, and S-(2-(acylamino)phenyl) alkanethioates as novel inhibitors of cholesteryl ester transfer protein
作者:Shinkai, H.; Maeda, K.; Yamasaki, T.; Okamoto, H.; Uchida, I.
来源:J Med Chem 2000,43(19),3566
合成路线图解说明:

Cyclohexanecarboxylic acid (I) is condensed with 1-bromo-2-ethylbutane (II) by means of lithium diisopropylamide (LDA) (NaH can also be added ) in THF or THF/cyclohexane to afford derivative (III). Treatment of carboxylic acid (III) with oxalyl chloride in CH2Cl2 (a small amount of DMF can be added) yields acid chloride (IV), which is then coupled with bis(2-aminophenyl) disulfide (V) in pyridine to provide disulfide derivative (VI). Reduction of the disulfide bond of (VI) with PPh3 in dioxane/H2O gives benzenethiol (VII), which is finally coupled with isobutyryl chloride (VIII) in pyridine/CHCl3 to furnish the target compound.

Drug Information Express,Drug R&D,Chemical Database,Patent Search.
Copyright © 2006-2026 Drug Future. All rights reserved.Contact Us