【药物名称】SNAP-7915
化学结构式(Chemical Structure):
参考文献No.38058
标题:Heterocyclic substd. piperidines and uses thereof
作者:Marzabadi, M.R.; Wong, W.C.; Gluchowski, C.; Tian, D.; Nagarathnam, D.; Lagu, B.; Dhar, T.G.M.; Jeon, Y.T. (Synaptic Pharmaceutical Corp.)
来源:EP 0988295; WO 9857940
合成路线图解说明:

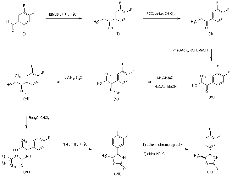
The addition of ethylmagnesium bromide to 3,4-difluorobenzaldehyde (I) gave alcohol (II), which was oxidized to ketone (III) by using pyridinium chlorochromate. Treatment of (III) with iodobenzene diacetate in methanolic KOH produced the hydroxy ketone (IV). This was converted to oxime (V) and subsequently reduced with LiAlH4, yielding amino alcohol (VI) as a mixture of diastereoisomers. The mixture of amino alcohols (VI) was treated with Boc2O to afford carbamate (VII), which was then cyclized in the presence of NaH in THF. The resulting diastereomeric mixture of oxazolidinones (VIII) was first separated by column chromatography, and the racemic trans-isomer was then resolved by means of chiral HPLC to provide the required (+)-trans-oxazolidine (IX).

合成路线图解说明:

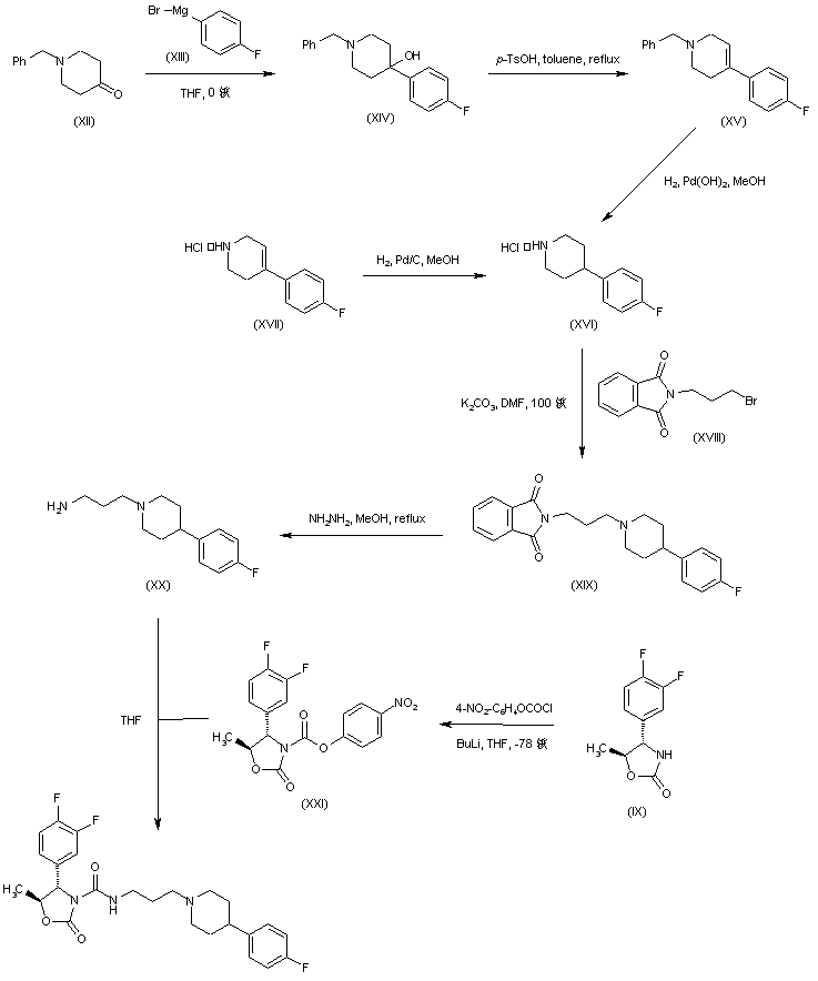
Addition of 4-fluorophenylmagnesium bromide (XIII) to 1-benzyl-4-piperidinone (XII) afforded carbinol (XIV), which was dehydrated to the tetrahydropyridine (XV) by treatment with p-toluenesulfonic acid in refluxing toluene. Hydrogenation of the olefin (XV) with concomitant benzyl group hydrogenolysis gave 4-(4-fluorophenyl)piperidine (XVI) (1). This compound was also obtained by catalytic hydrogenation of the commercially available 4-(4-fluorophenyl)-1,2,3,6-tetrahydropyridine (XVII). Alkylation of piperidine (XVI) with N-(3-bromopropyl)phthalimide (XVIII) provided adduct (XIX), which was subjected to hydrazinolysis in refluxing MeOH to furnish the primary amine (XX). Deprotonation of oxazolidine (IX) with n-butyllithium in THF at -78 C, followed by condensation with p-nitrophenyl chloroformate, gave the p-nitrophenoxycarbonyl derivative (XXI). This was finally coupled with amine (XX) to furnish the title carboxamide.

参考文献No.40664
标题:Combination therapy for the treatment of benign prostatic hyperplasia
作者:Broten, T.P.; Nichtberger, S.A.; Siegl, P.K.S. (Merck & Co., Inc.)
来源:WO 9948530
合成路线图解说明:

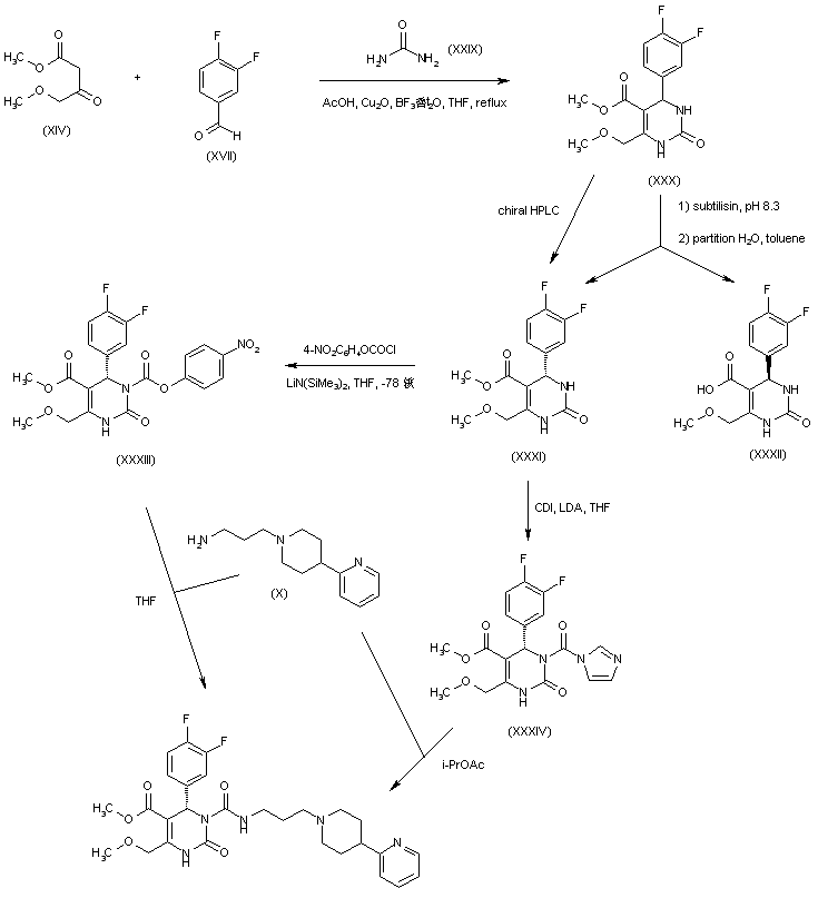
In a related synthetic method, condensation between 4-methoxyacetoacetate (XIV), 3,4-difluorobenzaldehyde (XVII) and urea (XXIX) in the presence of copper acetate and boron trifluoride etherate furnished the racemic pyrimidinone (XXX). Enzymatic resolution of (XXX) by incubation with subtilisin yielded a separable mixture of the (R)-acid (XXXII) and the unreacted (S)-ester (XXXI). Alternatively, the (S)-enantiomer (XXXI) was isolated by chiral preparative HPLC. Pyrimidinone (XXXI) was activated by conversion to either aryl carbamate (XXXIII) using 4-nitrophenyl chloroformate or to imidazolide (XXXIV) with carbonyl diimidazole. Finally, coupling of the intermediate amine (X) with either the carbamate (XXXIII) or the imidazolide (XXXIV) furnished the title compound.

合成路线图解说明:

The addition of ethylmagnesium bromide to 3,4-difluorobenzaldehyde (I) gave alcohol (II), which was oxidized to ketone (III) by using pyridinium chlorochromate. Treatment of (III) with iodobenzene diacetate in methanolic KOH produced the hydroxy ketone (IV). This was converted to oxime (V) and subsequently reduced with LiAlH4, yielding amino alcohol (VI) as a mixture of diastereoisomers. The mixture of amino alcohols (VI) was treated with Boc2O to afford carbamate (VII), which was then cyclized in the presence of NaH in THF. The resulting diastereomeric mixture of oxazolidinones (VIII) was first separated by column chromatography, and the racemic trans-isomer was then resolved by means of chiral HPLC to provide the required (+)-trans-oxazolidine (IX).

合成路线图解说明:

Addition of 4-fluorophenylmagnesium bromide (XIII) to 1-benzyl-4-piperidinone (XII) afforded carbinol (XIV), which was dehydrated to the tetrahydropyridine (XV) by treatment with p-toluenesulfonic acid in refluxing toluene. Hydrogenation of the olefin (XV) with concomitant benzyl group hydrogenolysis gave 4-(4-fluorophenyl)piperidine (XVI) (1). This compound was also obtained by catalytic hydrogenation of the commercially available 4-(4-fluorophenyl)-1,2,3,6-tetrahydropyridine (XVII). Alkylation of piperidine (XVI) with N-(3-bromopropyl)phthalimide (XVIII) provided adduct (XIX), which was subjected to hydrazinolysis in refluxing MeOH to furnish the primary amine (XX). Deprotonation of oxazolidine (IX) with n-butyllithium in THF at -78 C, followed by condensation with p-nitrophenyl chloroformate, gave the p-nitrophenoxycarbonyl derivative (XXI). This was finally coupled with amine (XX) to furnish the title carboxamide.

参考文献No.586220
标题:De novo design of a novel oxazolidinone analogue as a potent and selective alpha1A adrenergic receptor antagonist with high oral bioavailability
作者:Lagu, B.; Tian, D.; Jeon, Y.; Li, C.S.; Wetzel, J.M.; Nagarathnam, D.; Shen, Q.; Forray, C.; Chang, R.S.; Broten, T.P.; Ransom, R.W.; Chan, T.B.; O'Malley, S.S.; Schorn, T.W.; Rodrigues, A.D.; Kassahun, K.; Pettibone, D.J.; Freidinger, R.O.; et al.
来源:J Med Chem 2000,43(15),2775
合成路线图解说明:

In an alternative procedure, 3,4-difluorobenzylamine (X) was condensed with benzophenone in the presence of a catalytic amount of boron trifluoride etherate to afford imine (XI). After deprotonation of (XI) with tert-butyllithium, its condensation with acetaldehyde produced a protected amino alcohol, which was then deprotected by treatment with O-methyl hydroxylamine. The resulting amino alcohol (VI) was converted to oxazolidine (IX) by the same method as above.

合成路线图解说明:

Addition of 4-fluorophenylmagnesium bromide (XIII) to 1-benzyl-4-piperidinone (XII) afforded carbinol (XIV), which was dehydrated to the tetrahydropyridine (XV) by treatment with p-toluenesulfonic acid in refluxing toluene. Hydrogenation of the olefin (XV) with concomitant benzyl group hydrogenolysis gave 4-(4-fluorophenyl)piperidine (XVI) (1). This compound was also obtained by catalytic hydrogenation of the commercially available 4-(4-fluorophenyl)-1,2,3,6-tetrahydropyridine (XVII). Alkylation of piperidine (XVI) with N-(3-bromopropyl)phthalimide (XVIII) provided adduct (XIX), which was subjected to hydrazinolysis in refluxing MeOH to furnish the primary amine (XX). Deprotonation of oxazolidine (IX) with n-butyllithium in THF at -78 C, followed by condensation with p-nitrophenyl chloroformate, gave the p-nitrophenoxycarbonyl derivative (XXI). This was finally coupled with amine (XX) to furnish the title carboxamide.

参考文献No.604002
标题:Determination of the relative and absolute stereochemistry of a potent and alpha1A-selective adrenoceptor antagonist
作者:Lagu, B.; Wetzel, J.M.; Forray, C.; Patane, M.A.; Bock, M.G.
来源:Bioorg Med Chem Lett 2000,10(24),2705
合成路线图解说明:

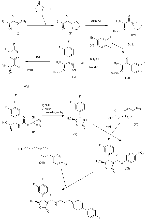
The reaction of (S)-(+)-methyl lactate (I) with pyrrolidine (II) gives the corresponding acyl pyrrolidine (III), which is silylated with Tbdms-Cl and imidazole to yield the silyl ether (IV). The condensation of (IV) with 3,4-difluorobromobenzene (V) by means of BuLi in THF affords the chiral propiophenone derivative (VI), which is treated with hydroxylamine and NaOAc in methanol to provide the corresponding oxime (VII). The reduction of (VII) with LiAlH4 in refluxing ethyl ether gives the expected amine (VIII), which is treated with (Boc)2O in chloroform, yielding the carbamate (IX). The cyclization of (IX) by means of NaH in THF gives a mixture of cis- and trans-oxazolidinones, from which the desired trans-(4S,5S)-isomer (X) is separated by flash chromatography. The reaction of (X) with 4-nitrophenyl chloroformate (XI) by means of NaH yields the oxazolidinone-carboxylate (XII), which is finally condensed with 3-[4-(4-fluorophenyl)piperidin-1-yl]propylamine (XIII) in THF to afford the target amide.

Drug Information Express,Drug R&D,Chemical Database,Patent Search.
Copyright © 2006-2026 Drug Future. All rights reserved.Contact Us