【药物名称】
化学结构式(Chemical Structure):
参考文献No.35261
标题:Oxadiazole benzenesulfonamides as selective beta3 agonists for the treatment of diabetes and obesity
作者:Biftu, T.; Feng, D.D.; Fisher, M.H.; Kuo, C.-H.; Liang, G.-B.; Weber, A.E.; Naylor, E.M. (Merck & Co., Inc.)
来源:EP 0906310; US 6034106; WO 9746556
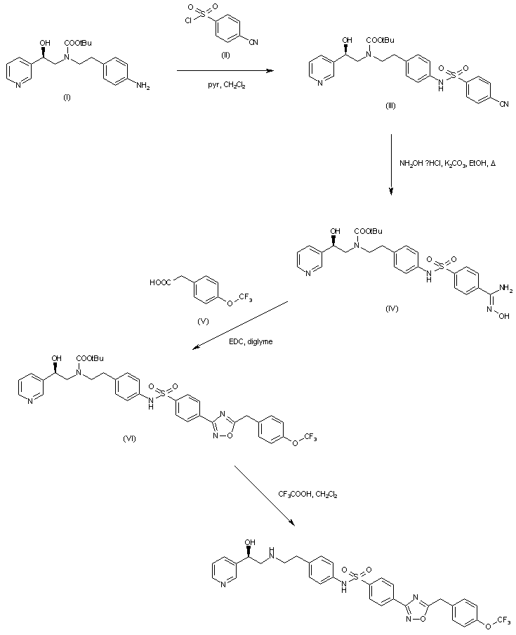
合成路线图解说明:

Condensation of the protected aniline derivative (I) with 4-cyanobenzenesulfonyl chloride (II) in the presence of pyridine afforded sulfonamide (III). Subsequent reaction of he nitrile group of (III) with hydroxylamine provided the corresponding amidoxime (IV), which was reacted with 3,4-difluorophenylacetic acid (V) and EDC to produce the oxadiazole (VI). Finally, the Boc protecting group of (VI) was removed by treatment with trifluoroacetic acid.

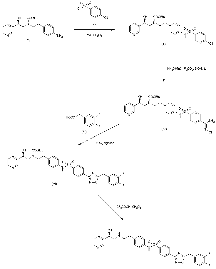
合成路线图解说明:

Condensation of the protected aniline derivative (I) with 4-cyanobenzenesulfonyl chloride (II) in the presence of pyridine afforded sulfonamide (III). Subsequent reaction of he nitrile group of (III) with hydroxylamine provided the corresponding amidoxime (IV), which was reacted with 4-(trifluoromethoxy)phenylacetic acid (V) and EDC to produce the oxadiazole (VI). Finally, the Boc protecting group of (VI) was removed by treatment with trifluoroacetic acid.

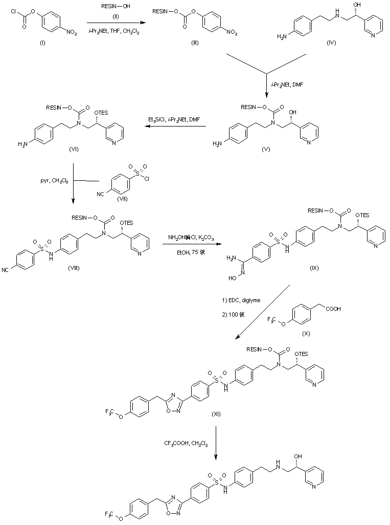
合成路线图解说明:

The title compound was prepared by solid-phase synthesis. Resin (II) was treated with 4-nitrophenyl chloroformate (I), and the activated nitrophenyl carbonate resin (III) was coupled to (R)-N-[2-(4-aminophenyl)ethyl]-2-hydroxy-2-(pyrid-3-yl)ethylamine (IV) to furnish the resine-bound aniline (V). After protection of the hydroxyl group as the triethylsilyl ether (VI), reaction with 4-cyanobenzenesulfonyl chloride (VII) in the presence of pyridine provided the resine-bound sulfonamide (VIII). Addition of hydroxylamine to the cyano group of (VIII) afforded the corresponding amidoxime (IX). The required oxadiazole (XI) was obtained by acylation of (IX) with 4-(trifluoromethoxy)phenylacetic acid (X) in the presence of EDC, followed by heating in diglyme to effect the cyclization. Cleavage from the resin and simultaneous desilylation was achieved by treatment with trifluoroacetic acid in dichloromethane.

参考文献No.585843
标题:Synthesis and SAR of benzyl and phenoxymethylene oxadiazole benzenesulfonamides as selective beta3 adrenergic receptor agonist antiobesity agents
作者:Biftu, T.; Feng, D.D.; Liang, G.-B.; Kuo, H.; Qian, X.; Naylor, E.M.; Colandrea, V.J.; Candelore, M.R.; Cascieri, M.A.; Colwell, L.F. Jr.; Forrest, M.J.; Hom, G.J.; MacIntyre, D.E.; Stearns, R.A.; Strader, C.D.; Wyvratt, M.J.; Fisher, M.H.; Weber, A.E.
来源:Bioorg Med Chem Lett 2000,10(13),1431
合成路线图解说明:

The title compound was prepared by solid-phase synthesis. Resin (II) was treated with 4-nitrophenyl chloroformate (I), and the activated nitrophenyl carbonate resin (III) was coupled to (R)-N-[2-(4-aminophenyl)ethyl]-2-hydroxy-2-(pyrid-3-yl)ethylamine (IV) to furnish the resine-bound aniline (V). After protection of the hydroxyl group as the triethylsilyl ether (VI), reaction with 4-cyanobenzenesulfonyl chloride (VII) in the presence of pyridine provided the resine-bound sulfonamide (VIII). Addition of hydroxylamine to the cyano group of (VIII) afforded the corresponding amidoxime (IX). The required oxadiazole (XI) was obtained by acylation of (IX) with 4-(trifluoromethoxy)phenylacetic acid (X) in the presence of EDC, followed by heating in diglyme to effect the cyclization. Cleavage from the resin and simultaneous desilylation was achieved by treatment with trifluoroacetic acid in dichloromethane.

Drug Information Express,Drug R&D,Chemical Database,Patent Search.
Copyright © 2006-2026 Drug Future. All rights reserved.Contact Us