【药物名称】Pd-Bacteriopheophorbide, WST-09, Pd-BPheid, Tookad
化学结构式(Chemical Structure):
参考文献No.43819
标题:Palladium-substd. bacteriochlorophyll derivs. and use thereof
作者:Scherz, A.; Salomon, Y.; Scheer, H.; Brandis, A. (Yeda Research & Development Co. Ltd.)
来源:JP 2002531497; WO 0033833
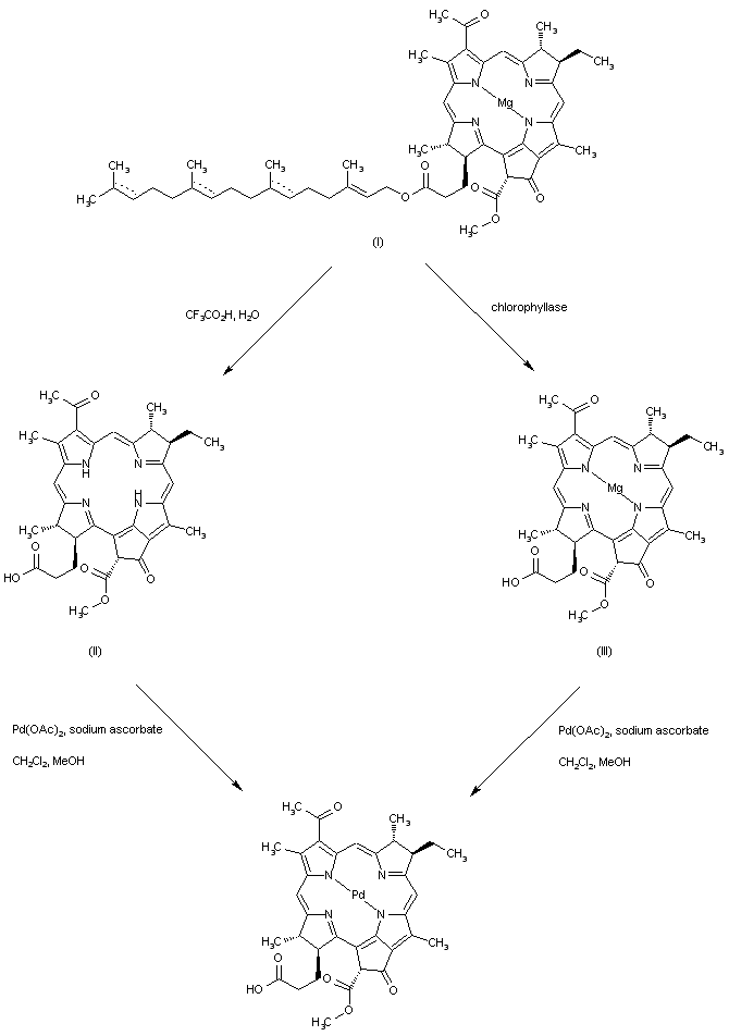
合成路线图解说明:

Bacteriochlorophyll a (I) was isolated from the lyophilized bacteria Rhodovolum sulfidophilum. From this, the title compound was obtained by several methods. Hydrolysis of the C-17 ester group and simultaneous demetalation by means of 80% aqueous trifluoroacetic acid provided bacteriopheophorbide (II). This was then complexed with palladium acetate in the presence of sodium ascorbate to produce the title compound. In a related procedure, transmetalation of (I) with palladium acetate in the presence of 6-O-palmitoyl-L-aspartic acid led to the corresponding palladium complex (III), which was then hydrolyzed to the title compound in aqueous trifluoroacetic acid. An alternative method consisted of the initial hydrolysis of the 17-C ester group of (I) by means of the enzyme chlorophyllase to afford acid (IV), and then transmetalation with palladium acetate.

合成路线图解说明:

Bacteriochlorophyll a (I) is isolated from lyophilized bacteria Rhodovolum sulfidophilum as a mixture of phytyl and geranylgeranyl esters. Demetalation and hydrolysis of (I) with 80% aqueous trifluoroacetic acid furnishes bacteriopheophorbide a (II). Then, complexation of (II) with palladium acetate in the presence of sodium ascorbate gives rise to the title compound. In an alternative method, bacteriochlorophyll a (I) is hydrolyzed by means of chlorophyllase to produce bacteriochlorophyllide (III) along with some bacteriopheophorbide (II). Subsequent transmetalation of (III) with palladium acetate leads to the target palladium complex.

Drug Information Express,Drug R&D,Chemical Database,Patent Search.
Copyright © 2006-2026 Drug Future. All rights reserved.Contact Us