【药物名称】T-0970
化学结构式(Chemical Structure):
参考文献No.35446
标题:Phenol-derivs. having pharmaceutical activity and process for preparing the same
作者:Suzuki, T.; Ohmizu, H.; Hashimura, Y.; Kubota, H.; Tanaka, K. (Tanabe Seiyaku Co., Ltd.)
来源:EP 0790240; JP 1998195037; US 5849732
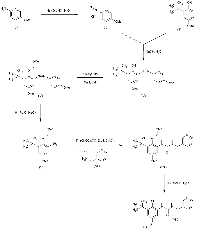
合成路线图解说明:

Diazotization of p-anisidine (I), followed by coupling of the resulting diazonium salt (II) with 3-tert-butyl-4-hydroxyanisole (III) produced azobenzene (IV). Subsequent protection of the hydroxyl group of (IV) with chloromethyl methyl ether in the presence of NaH afforded the methoxymethyl derivative (V). Aniline (VI) was then obtained by catalytic hydrogenation of (V) over Pd/C. Condensation of aniline (VI) with triphosgene, followed by reaction with 3-picolylamine (VII) gave rise to urea (VIII). The methoxymethyl protecting group of (VIII) was finally removed by treatment with methanolic HCl.

合成路线图解说明:

The intermediate secondary amine (IV) was prepared by condensation of 3-aminopyridine (I) with isonicotinic aldehyde (II), followed by catalytic hydrogenation of the resulting imine (III).

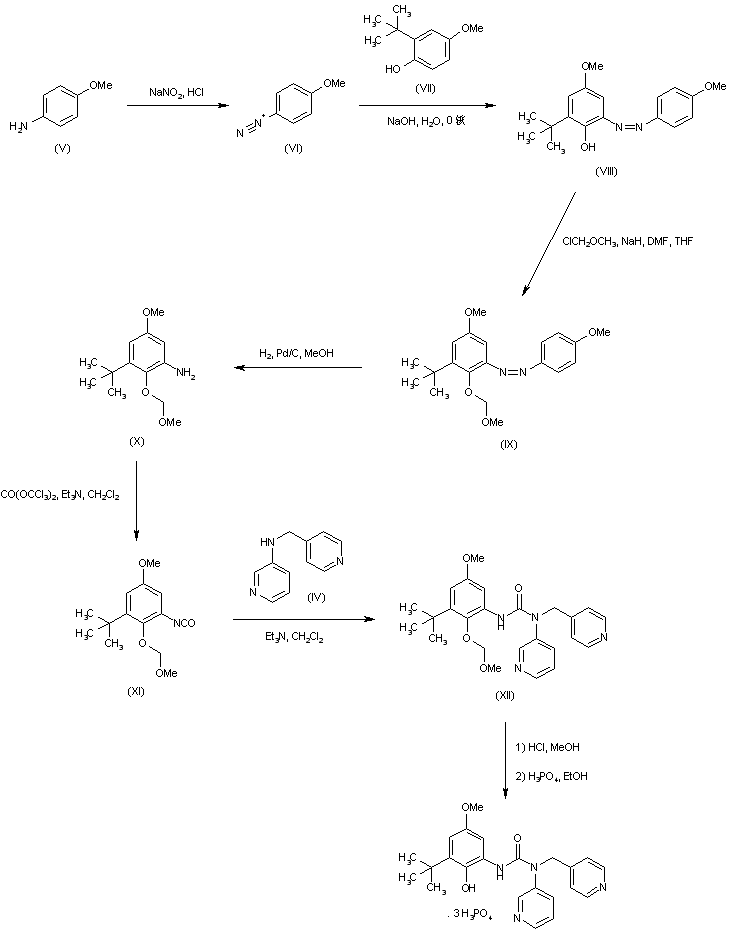
合成路线图解说明:

The diazonium salt (VI), prepared by diazotization of p-anisidine (V), was added to 4-methoxy-2-tert-butylphenol (VII) yielding the azo adduct (VIII). Protection of the phenolic hydroxyl group of (VIII) was carried out by alkylation with methoxymethyl chloride and NaH to give methoxymethyl ether (IX). Then, reductive cleavage of the diazo group of (IX) by hydrogenation over Pd/C furnished aniline (X) (1). Subsequent reaction of (X) with triphosgene and triethylamine in cold CH2Cl2 produced isocyanate (XI), which was condensed with amine (IV) to afford urea (XII). After acid deprotection of the methoxymethyl group of (XII), treatment with phosphoric acid in EtOH provided the title triphosphate salt.

参考文献No.569556
标题:Antioxidative property of T-0970, a new ureidophenol derivative
作者:Kubota, H.; Suzumura, K.; Suzuki, T.; Ohmizu, H.; Kashimura, Y.
来源:Free Radical Research 2000,32(3),255
合成路线图解说明:

The intermediate secondary amine (IV) was prepared by condensation of 3-aminopyridine (I) with isonicotinic aldehyde (II), followed by catalytic hydrogenation of the resulting imine (III).

合成路线图解说明:

The diazonium salt (VI), prepared by diazotization of p-anisidine (V), was added to 4-methoxy-2-tert-butylphenol (VII) yielding the azo adduct (VIII). Protection of the phenolic hydroxyl group of (VIII) was carried out by alkylation with methoxymethyl chloride and NaH to give methoxymethyl ether (IX). Then, reductive cleavage of the diazo group of (IX) by hydrogenation over Pd/C furnished aniline (X) (1). Subsequent reaction of (X) with triphosgene and triethylamine in cold CH2Cl2 produced isocyanate (XI), which was condensed with amine (IV) to afford urea (XII). After acid deprotection of the methoxymethyl group of (XII), treatment with phosphoric acid in EtOH provided the title triphosphate salt.

Drug Information Express,Drug R&D,Chemical Database,Patent Search.
Copyright © 2006-2026 Drug Future. All rights reserved.Contact Us