【药物名称】SB-3CT
化学结构式(Chemical Structure):
参考文献No.52617
标题:Inhibitors of matrix metalloproteinases
作者:Mobashery, S.; Fridman, R. (Wayne State University)
来源:WO 0192244
合成路线图解说明:

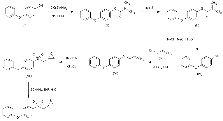
Treatment of 4-phenoxyphenol (I) with N,N-dimethylthiocarbamoyl chloride afforded the O-aryl thiocarbamate (II), which was thermally rearranged to the S-aryl thiocarbamate (III). Basic hydrolysis of (III) provided 4-phenoxythiophenol (IV). Subsequent alkylation of (IV) with allyl bromide (V) led to the allyl thioether (VI). Further oxidation of (VI) with m-chloroperbenzoic acid (MCPBA) gave rise to the epoxisulfone (VII). This was finally converted to the target thiirane derivative upon treatment with ammonium thiocyanate.

参考文献No.584477
标题:Potent and selective mechanism-based inhibition of gelatinases
作者:Kotra, L.P.; Brown, S.; Bernardo, M.M.; Tanaka, Y.; Li, Z.-H.; Fridman, R.; Mobashery, S.
来源:J Am Chem Soc 2000,122(28),6799
合成路线图解说明:

Treatment of 4-phenoxyphenol (I) with N,N-dimethylthiocarbamoyl chloride afforded the O-aryl thiocarbamate (II), which was thermally rearranged to the S-aryl thiocarbamate (III). Basic hydrolysis of (III) provided 4-phenoxythiophenol (IV). Subsequent alkylation of (IV) with allyl bromide (V) led to the allyl thioether (VI). Further oxidation of (VI) with m-chloroperbenzoic acid (MCPBA) gave rise to the epoxisulfone (VII). This was finally converted to the target thiirane derivative upon treatment with ammonium thiocyanate.

Drug Information Express,Drug R&D,Chemical Database,Patent Search.
Copyright © 2006-2026 Drug Future. All rights reserved.Contact Us