【药物名称】MX-1013, Z-VD-fmk, CV-1013
化学结构式(Chemical Structure):
参考文献No.44804
标题:Dipeptide apoptosis inhibitors and the use thereof
作者:Guastella, J.; Yang, W.; Cai, S.X.; Keana, J.F.W.; Drewe, J.A. (Cytovia, Inc.)
来源:EP 1033910; US 6184210; WO 9918781
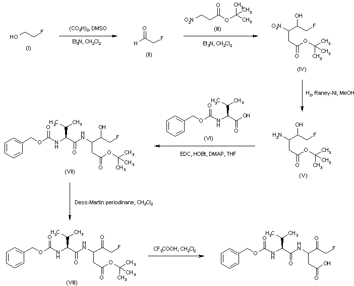
合成路线图解说明:

2-Fluoroethanol (I) was oxidized under Swern conditions to afford 2-fluoroacetaldehyde (II), which was condensed with tert-butyl 3-nitropropionate (III), yielding the hydroxy ester (IV). Hydrogenation of the nitro group of (IV) over Raney nickel produced amine (V). Subsequent coupling of N-carbobenzoxy-L-valine (VI) with amine (V) in the presence of EDC and HOBt furnished amide (VII). The hydroxyl group of (VII) was then oxidized to the corresponding ketone (VIII) by using Dess-Martin periodinane. Finally, the tert-butyl ester was cleaved by treatment with trifluoroacetic acid.

Drug Information Express,Drug R&D,Chemical Database,Patent Search.
Copyright © 2006-2026 Drug Future. All rights reserved.Contact Us