【药物名称】ARM-434
化学结构式(Chemical Structure):
参考文献No.595472
标题:New diarylmethylpiperazines as potent and selective nonpeptide delta opioid receptor agonists with increased in vitro metabolic stability
作者:Plobeck, N.; Delorme, D.; Wei, Z.-Y.; Yang, H.O.; Zhou, F.; Schwarz, P.; Gawell, L.; Gagnon, H.; Pelcman, B.; Schmidt, R.; Yue, S.Y.; Walpole, C.; Brown, W.; Zhou, E.; Labarre, M.; Payza, K.; St-Onge, S.; Kamassah, A.; Morin, P.E.; Projean, D.; et al.
来源:J Med Chem 2000,43(21),3878
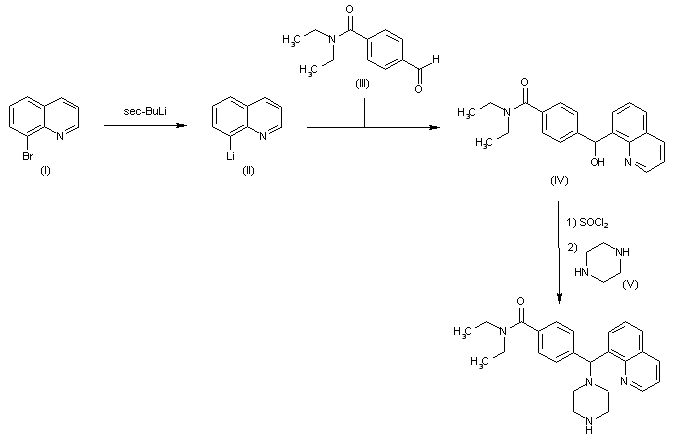
合成路线图解说明:

8-Bromoquinoline (I) is treated with sec-BuLi in THF to afford lithium derivative (II), which then reacts with carbaldehyde (III) in THF to provide alcohol (IV). Finally, (IV) is converted into the desired compound by chlorination with SOCl2 in CH2Cl2 followed by reaction with piperazine (V) in refluxing acetonitrile.

Drug Information Express,Drug R&D,Chemical Database,Patent Search.
Copyright © 2006-2026 Drug Future. All rights reserved.Contact Us