【药物名称】SC-795
化学结构式(Chemical Structure):
参考文献No.42847
标题:(R)-Chiral halogenated 1-substd.amino-(n+1)-alkanols useful for inhibiting cholesteryl ester transfer protein activity
作者:Vernier, W.F.; Wang, L.; Mischke, D.A.; Hamme, A.T.; Promo, M.A.; Sikorski, J.A.; Spangler, D.P.; Grapperhaus, M.L.; Massa, M.A.; Durley, R.C.; Reinhard, E.J.; Fobian, Y.M.; Hickory, B.S.; Tollefson, M.B.; Norton, M.B.; Rueppel, M.L. (Pharmacia Corp.)
来源:WO 0018721; WO 0018724
合成路线图解说明:

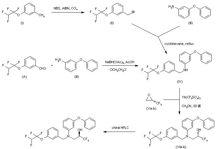
Radical bromination of 3-(1,1,2,2-tetrafluoroethoxy)toluene (I) by means of N-bromosuccinimide in the presence of AIBN provided benzyl bromide (II), which was then condensed with 3-phenoxyaniline (III) in refluxing cyclohexane to afford (IV). Alternatively, (IV) was obtained by reductive condensation of 3-(1,1,2,2-tetrafluoroethoxy)benzaldehyde (A) with 3-phenoxyaniline (III) in the presence of sodium triacetoxyborohydride. The condensation of the secondary amine (IV) with commercially available trifluoromethyloxirane (V) of unspecified enantiomeric composition in the presence of ytterbium triflate furnished a 1:7 mixture of enantiomeric amino alcohols (VI). The title compound was then isolated from (VI) as the minor enantiomer by means of preparative chiral HPLC.

合成路线图解说明:

The chiral (R)-(+)-epoxide (X) was synthesized by asymmetric reduction of 3-bromotrifluoroacetone (VII) using (+)-B-chlorodiisopinocampheylborane (VIII), followed by intramolecular cyclization of the resulting (R)-bromohydrin (VIII) in aqueous NaOH. Finally, reaction of amine (IV) with the chiral epoxide (X) furnished the desired enantiomer.

参考文献No.592965
标题:New simple class of potent cholesteryl ester transfer protein inhibitors
作者:Grapperhaus, M.L.; Hickory, B.S.; Sikorski, J.A.; Wang, L.J.; Massa, M.A.; Mischke, D.A.; Honda, D.D.
来源:220th ACS Natl Meet (Aug 20 2000, Washington DC) 2000,Abst MEDI 283
合成路线图解说明:

The chiral (R)-(+)-epoxide (X) was synthesized by asymmetric reduction of 3-bromotrifluoroacetone (VII) using (+)-B-chlorodiisopinocampheylborane (VIII), followed by intramolecular cyclization of the resulting (R)-bromohydrin (VIII) in aqueous NaOH. Finally, reaction of amine (IV) with the chiral epoxide (X) furnished the desired enantiomer.

参考文献No.601595
标题:Discovery of chiral N,N-disubstituted trifluoro-3-amino-2-propanols as potent inhibitors of cholesteryl ester transfer protein
作者:Durley, R.C.; Grapperhaus, M.L.; Massa, M.A.; Mischke, D.A.; Parnas, B.L.; Fobian,Y.M.; Rath, N.P.; Honda, D.D.; Zeng, M.; Connolly, D.T.; Heuvelman, D.M.; Witherbee, B.J.; Glenn, K.C.; Krul, E.S.; Smith, M.E.; Sikorski, J.A.
来源:J Med Chem 2000,43(24),4575
合成路线图解说明:

Radical bromination of 3-(1,1,2,2-tetrafluoroethoxy)toluene (I) by means of N-bromosuccinimide in the presence of AIBN provided benzyl bromide (II), which was then condensed with 3-phenoxyaniline (III) in refluxing cyclohexane to afford (IV). Alternatively, (IV) was obtained by reductive condensation of 3-(1,1,2,2-tetrafluoroethoxy)benzaldehyde (A) with 3-phenoxyaniline (III) in the presence of sodium triacetoxyborohydride. The condensation of the secondary amine (IV) with commercially available trifluoromethyloxirane (V) of unspecified enantiomeric composition in the presence of ytterbium triflate furnished a 1:7 mixture of enantiomeric amino alcohols (VI). The title compound was then isolated from (VI) as the minor enantiomer by means of preparative chiral HPLC.

合成路线图解说明:

The chiral (R)-(+)-epoxide (X) was synthesized by asymmetric reduction of 3-bromotrifluoroacetone (VII) using (+)-B-chlorodiisopinocampheylborane (VIII), followed by intramolecular cyclization of the resulting (R)-bromohydrin (VIII) in aqueous NaOH. Finally, reaction of amine (IV) with the chiral epoxide (X) furnished the desired enantiomer.

参考文献No.687582
标题:Chiral N,N-disubstituted trifluoro-3-amino-2-propanols are potent inhibitors of cholesteryl ester transfer protein
作者:Durley, R.C.; Grapperhaus, M.L.; Hickory, B.S.; Massa, M.A.; Wang, J.L.; Spangler, D.P.; Mischke, D.A.; Parnas, B.L.; Fobian, Y.M.; Rath, N.P.; Honda, D.D.; Zeng, M.; Connolly, D.T.; Heuvelman, D.M.; Witherbee, B.J.; Melton, M.A.; Glenn, K.C.; et al.
来源:J Med Chem 2002,45(18),3891
合成路线图解说明:

The chiral (R)-(+)-epoxide (X) was synthesized by asymmetric reduction of 3-bromotrifluoroacetone (VII) using (+)-B-chlorodiisopinocampheylborane (VIII), followed by intramolecular cyclization of the resulting (R)-bromohydrin (VIII) in aqueous NaOH. Finally, reaction of amine (IV) with the chiral epoxide (X) furnished the desired enantiomer.

Drug Information Express,Drug R&D,Chemical Database,Patent Search.
Copyright © 2006-2026 Drug Future. All rights reserved.Contact Us