【药物名称】FY21-alphaalpha09
化学结构式(Chemical Structure):
参考文献No.587843
标题:Identification of new Cdc25 dual specificity phosphatase inhibitors in a targeted small molecule array
作者:Yokokama, S.; Ducruet, A.P.; Rice, R.L.; Tamura, K.; Yokokawa, F.; Wipf, P.; Lazo, J.S.
来源:Bioorg Med Chem 2000,8(6),1451
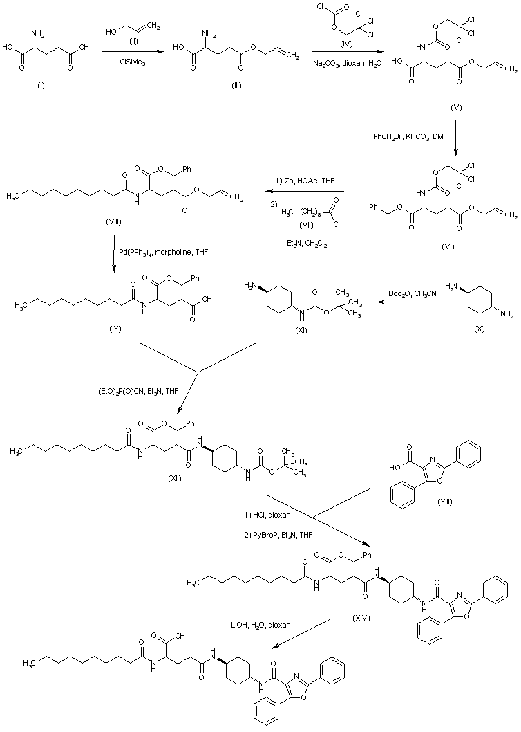
合成路线图解说明:

D,L-Glutamic acid (I) was sequentially protected as the gamma-allyl ester (III), upon treatment with allyl alcohol (II) and chlorotrimethylsilane, followed by conversion to the trichloroethyl carbamate (V) by means of chloroformate (IV), and then reaction of (V) with benzyl bromide to afford the alpha-benzyl ester (VI). Deprotection of the trichloroethyl carbamate of (VI) by treatment with zinc dust and HOAc and subsequent condensation of the resulting amine with decanoyl chloride (VII) furnished amide (VIII). The allyl ester of (VIII) was then selectively cleaved by using tetrakistriphenylphosphine palladium(0) and morpholine to give carboxylic acid (IX). trans-1,2-Diaminocyclohexane (X) was protected as the mono tert-butyl carbamate (XI) and then coupled with acid (IX) in the presence of diethylphosphoryl cyanide to yield amide (XII). After acidic Boc cleavage of (XII), coupling of the resulting amine with 2,5-diphenyloxazole-4-carboxylic acid (XIII) by means of bromo-tris(pyrrolidino)phosphonium hexafluorophosphate (PyBroP) afforded (XIV). Finally, hydrolysis of the benzyl ester of (XIV) with LiOH provided the corresponding carboxylic acid.

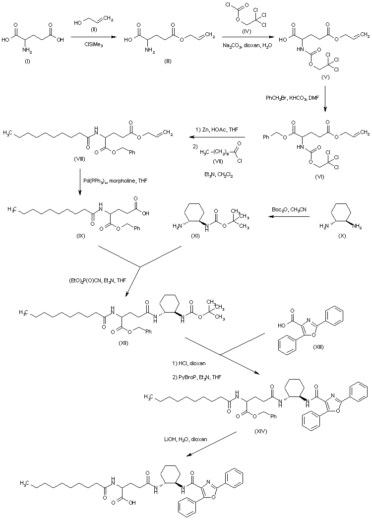
合成路线图解说明:

D,L-Glutamic acid (I) was sequentially protected as the gamma-allyl ester (III), upon treatment with allyl alcohol (II) and chlorotrimethylsilane, followed by conversion to the trichloroethyl carbamate (V) by means of chloroformate (IV), and then reaction of (V) with benzyl bromide to afford the alpha-benzyl ester (VI). Deprotection of the trichloroethyl carbamate of (VI) by treatment with zinc dust and HOAc and subsequent condensation of the resulting amine with decanoyl chloride (VII) furnished amide (VIII). The allyl ester of (VIII) was then selectively cleaved by using tetrakistriphenylphosphine palladium(0) and morpholine to give carboxylic acid (IX). trans-1,4-Diaminocyclohexane (X) was protected as the mono tert-butyl carbamate (XI) and then coupled with acid (IX) in the presence of diethylphosphoryl cyanide to yield amide (XII). After acidic Boc cleavage of (XII), coupling of the resulting amine with 2,5-diphenyloxazole-4-carboxylic acid (XIII) by means of bromo-tris(pyrrolidino)phosphonium hexafluorophosphate (PyBroP) afforded (XIV). Finally, hydrolysis of the benzyl ester of (XIV) with LiOH provided the corresponding carboxylic acid.

Drug Information Express,Drug R&D,Chemical Database,Patent Search.
Copyright © 2006-2026 Drug Future. All rights reserved.Contact Us