【药物名称】
化学结构式(Chemical Structure):
参考文献No.35566
标题:Spiro-piperidine derivs. and their use as therapeutic agents
作者:Curtis, N.R.; Huscroft, I.T.; Kulagowski, J.J.; Swain, C.J. (Merck Sharp & Dohme Ltd.)
来源:EP 0912579; US 6071928; WO 9801450
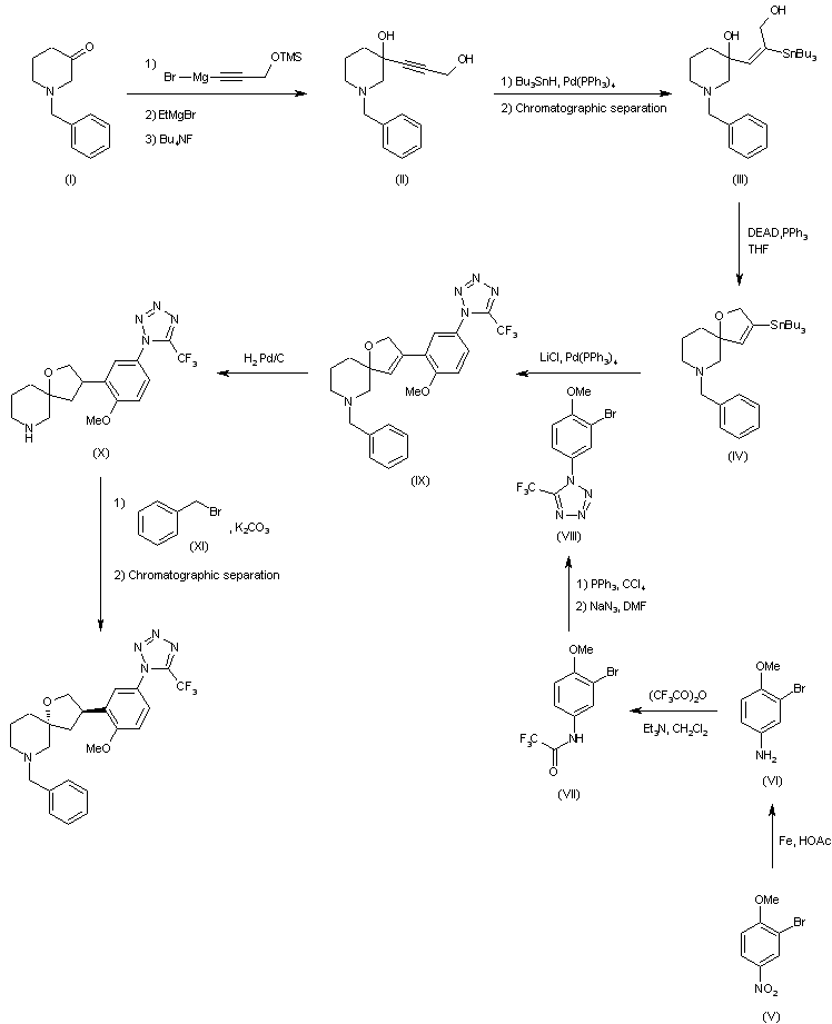
合成路线图解说明:

The reaction of 1-benzyl-3-piperidone (I) with trimethylsilylpropargyl alcohol in THF in presence of EtMgBr, followed by deprotection ot the silylated moiety with Bu4NF, yields alcohol (II), which is converted into (III) by treatment with Bu3SnH and Pd(PPh3)4 in toluene, followed by chromatografic separation from its isomer 1-benzyl-3-(3-hydroxy-1-tributylstannyl-1-propen-1-yl)piperidin-3-ol. Cyclization of (III) by means of DEAD and PPh3 in THF affords oxaazaspirodecene (IV), which reacts with (VIII) in presence of LiCl and Pd(PPh3)4 in toluene to provide derivative (IX). Intermediate (VIII) can be obtained as follows: Reduction of 2-bromo-4-nitro-anisole (V) with Fe in H2O/HOAc provides amine (VI) which is then trifluoroacetylated by means of (CF3CO)2O in CH2Cl2 in the presence of Et3N to afford (VII). Finally, treatment of (VII) with PPh3 in CCl4 followed by reaction with NaN3 in DMF affords (VIII). Hydrogenation of (IX) with H2 over Pd/C in HOAc/MeOH (simultaneous reduction of the double bond and loss of the benzylic moiety) yields oxaaxaspirodecane (X), which is finally treated with benzyl bromide and K2CO3 in DMF to obtain the mixture of diastereomers (3R*,5R*) and (3S*,5R*) which are chromatographically separated.

Drug Information Express,Drug R&D,Chemical Database,Patent Search.
Copyright © 2006-2026 Drug Future. All rights reserved.Contact Us