【药物名称】BBL22
化学结构式(Chemical Structure):
参考文献No.585798
标题:2-Benzazepines. 5.Synthesis of pyrimido[5,4-d][2] benzazepines and their evaluation as anxiolytic agents
作者:Trybulski, E.J.; Benjamin, L.E. Sr.; Earley, J.V.; Fryer, R.I.; Gilman, N.W.; Reeder, E.; Walser, A.; Davidson, A.B.; Horst, W.D.; Sepinwall, J.; et al.
来源:J Med Chem 1983,26(11),1589
合成路线图解说明:

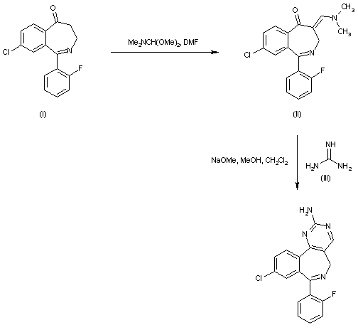
The known benzazepinone (I) was reacted with dimethylformamide dimethylacetal in DMF to furnish enamino ketone (II). Subsequent cyclization of (II) with guanidine in the presence of sodium methoxide produced the title pyrimido-benzazepine.

Drug Information Express,Drug R&D,Chemical Database,Patent Search.
Copyright © 2006-2026 Drug Future. All rights reserved.Contact Us