【药物名称】CDB-4124, Progenta
化学结构式(Chemical Structure):
参考文献No.34829
标题:21-Substd. progesterone derivs. as new antiprogestational agents
作者:Kim, H.K.; Blye, R.P.; Rao, P.N.; Cessac, J.W.; Acosta, C.K. (US Department of Health & Human Services)
来源:JP 2000509396; WO 9741145
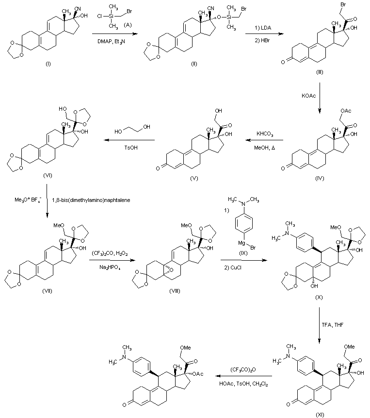
合成路线图解说明:

Protection of cyanohydrin ketal (I) with bromomethyldimethylsilyl chloride (A) in presence of DMAP and Et3N affords derivative (II), which is converted into (III) by means of LDA in cyclohexane and aqueous HBr. Treatment of (III) with KOAc in acetone yields acetoxy derivative (IV), which is then hydrolyzed to provide (V) by means of KHCO3 in refluxing MeOH. Protection of (V) as its acetal form by treatment with ethylene glycol in p-TsOH affords (VI), which is converted into methyl ether (VII) by treatment with Me3O+BF4- in presence of 1,8-bis(dimethylamino)-naphthalene. Oxidation of (VII) by means of H2O2, Na2HPO4 and (CF3)2CO in CH2Cl2 yields epoxide (VIII), which is converted into (X) by a Grignard reaction with (IX) in THF followed by treatment with CuCl. Diketal (X) is then deprotected by means of TFA in THF to provide derivative (XI), which is finally acetylated with (CF3CO)2O in a mixture of HOAc, p-TsOH and CH2Cl2.

Drug Information Express,Drug R&D,Chemical Database,Patent Search.
Copyright © 2006-2026 Drug Future. All rights reserved.Contact Us