【药物名称】NCX-530
化学结构式(Chemical Structure):
参考文献No.36078
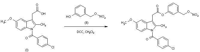
标题:Nitric ester derivs. and their use in urinary incontinence and other diseases
作者:Del Soldato, P.; Sannicolo', F. (NicOx SA)
来源:JP 2000517332; WO 9809948
合成路线图解说明:

The title compound was synthesized by two procedures. Indomethacin (I) was coupled with 3-hydroxybenzyl nitrate (II) using DCC to yield the title ester.

参考文献No.47683
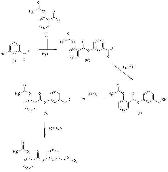
标题:Synthesis method of nitroxymethylphenyl esters of aspirin derivs.
作者:Garufi, M.; Del Soldato, P. (NicOx SA)
来源:WO 0044705
合成路线图解说明:

Alternatively, coupling of 3-hydroxybenzaldehyde (I) with acetylsalicyloyl chloride (II) by means of Et3N in dichloromethane affords 2-acetoxybenzoic acid 3-formyl-phenyl ester (IV), which is then reduced by hydrogenation over Pd/C in ethyl acetate to provide alcohol (III). Chlorination of alcohol (III) by treatment with thionyl chloride in DMF gives the chloromethyl derivative (V), which is finally converted to NCX-4016 by treatment with AgNO3 in refluxing acetonitrile.

合成路线图解说明:

In a related procedure, indomethacin chloride (III) was coupled with 3-hydroxybenzaldehyde (IV) to yield ester (V). Catalytic hydrogenation of the formyl group of (V) over Pd/C produced alcohol (VI), which was further converted to chloride (VII) upon treatment with SOCl2. The chloride group of (VII) was finally displaced with silver nitrate to furnish the corresponding nitrate ester.

Drug Information Express,Drug R&D,Chemical Database,Patent Search.
Copyright © 2006-2026 Drug Future. All rights reserved.Contact Us