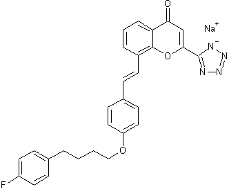
【药物名称】MEN-91507, LM-1507.Na
化学结构式(Chemical Structure):
参考文献No.34378
标题:Benzopyran derivs. having leukotriene-antagonistic action
作者:Carganico, G.; Mauleon Casellas, D.; Pascual Avellana, J.; Garcia Perez, M.L.; Palomer Benet, A. (Menarini Industrie Farma Riunite srl)
来源:EP 0888327; ES 2127106; JP 2000506878; US 5990142; WO 9734885
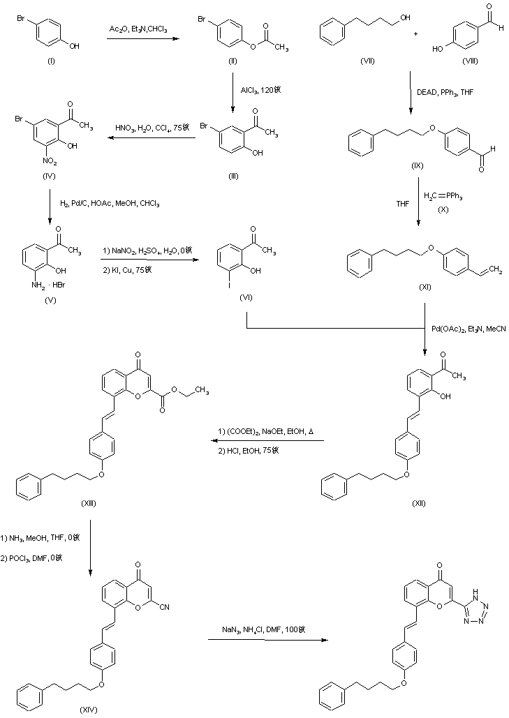
合成路线图解说明:

4-Bromophenol (I) was acetylated with Ac2O and Et3N, and the resulting 4-bromophenyl acetate (II) was rearranged to 5'-bromo-2'-hydroxyacetophenone (III) in the presence of AlCl3 at 120 C. Subsequent nitration of (III) produced the 3'-nitroacetophenone (IV). The catalytic hydrogenation of the nitro group of (IV), with simultaneous halogen hydrogenolysis, furnished 3'-amino-2'-hydroxyacetophe-none (V). Then, diazotization of the amine group of (V), followed by treatment with KI and Cu powder gave iodide (VI). Coupling of 4-phenyl-1-butanol (VII) with 4-hydroxybenzaldehyde (VIII) under Mitsunobu conditions provided 4-(4-phenylbutoxy)benzaldehyde (IX). Further Wittig reaction of (IX) with methylene triphenylphosphorane (X) gave the styrene (XI). This was condensed with the iodoacetophenone (VI) in the presence of Pd(OAc)2 to produce the stilbene derivative (XII). The benzopyranone (XIII) was prepared by condensation of hydroxyacetophenone (XII) with diethyl oxalate in the presence of NaOEt, followed by acid cyclization. After conversion of the ester function of (XIII) to the corresponding amide with methanolic ammonia, dehydration using POCl3 in DMF afforded nitrile (XIV). The required tetrazole ring was finally obtained by reaction with NaN3 and NH4Cl in DMF at 100 C.

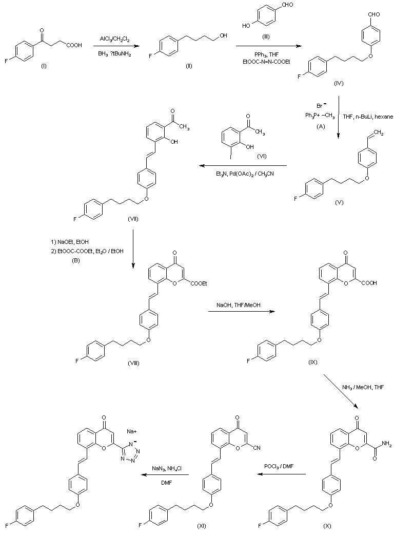
合成路线图解说明:

Reduction of 3-(4-fluorobenzoyl)propionic acid (I) by means of AlCl3 in CH2Cl2 and borane/tert-butylamine complex yields alcohol (II), which is then converted into aldehyde (IV) by reaction with 4-hydroxybenzaldehyde (III) in presence of PPh3 in THF and diethyl azodicarboxylate. Treatment of (IV) with a solution of methyltriphenylphosphonium bromide in THF and a solution of n-BuLi in hexane affords styrene derivative (V), which couples with 2?hydroxy-3?iodoacetophenone (VI) in presence of Et3N and Pd(OAc)2 in CH3CN to provide (VII). Cyclization of (VII) by means of a first treatment with NaOEt in EtOH followed by reaction with diethyl oxalate in Et2O/EtOH yields benzopyrane derivative (VIII) which is then hydrolyzed with NaOH in THF/MeOH to give (IX). Carboxylic acid (IX) is first converted into carboxamide (X) by treatment with a saturated NH3 solution in MeOH and then into carbonitrile (XI) by means of POCl3 in DMF. Finally, treatment of (XI) with a solution of NaN3, NH4Cl and DMF leads to the formation of the desired product.

Drug Information Express,Drug R&D,Chemical Database,Patent Search.
Copyright © 2006-2026 Drug Future. All rights reserved.Contact Us