【药物名称】Quinlukast, VUFB-19363
化学结构式(Chemical Structure):
参考文献No.43962
标题:Derivs. of hydroxyphenylsulfanylbenzoic and hydroxyphenylsulfanylarylacetic acids
作者:Bucharov? V.; Jr韈kov? H.; Brunov? B.; Kuchar, M.; Jandera, A.; Panajotov? V.; Kmon韈ek, V. (Research Institute of Pharmacy and Biochemistry (VUFB))
来源:WO 9967208
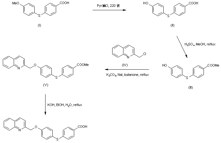
合成路线图解说明:

Ether cleavage of 4-(4-methoxyphenylsulfanyl)benzoic acid (I) with pyridine hydrochloride at 220 C provided phenol derivative (II). Subsequent esterification of (II) with methanol and sulfuric acid gave methyl ester (III). The quinolylmethyl ether (V) was then prepared by alkylation of (III) with 2-(chloromethyl)quinoline (IV) in the presence of K2CO3 and KI. Finally, the methyl ester group of (V) was hydrolyzed employing a hydroalcoholic solution of KOH.

Drug Information Express,Drug R&D,Chemical Database,Patent Search.
Copyright © 2006-2026 Drug Future. All rights reserved.Contact Us