【药物名称】O-1057
化学结构式(Chemical Structure):
参考文献No.44984
标题:Water soluble derivs. of cannabinoids
作者:Razdan, R.K.; Martin, B.R. (Virginia Commonwealth University)
来源:US 5847128
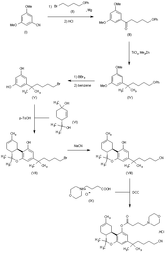
合成路线图解说明:

Grignard reaction between 3,5-dimethyoxybenzonitrile (I) and 4-bromophenoxybutane (II) in the presence of Mg turnings in THF, followed by hydrolysis with HCl, affords ketone (III), which is then treated with TiCl4 in dichloromethane and dimethyl zinc (Me2Zn) in toluene to provide dimethylpentane derivative (IV). Bromination of (IV) is then accomplished by first azeotroping with benzene followed by treatment with BBr3 in dichloromethane, affording bromo derivative (V). Condensation of resorcinol derivative (V) with p-menth-2-ene-1,8-diol (VI) in refluxing benzene in the presence of p-toluensulfonic acid furnishes compound (VII), whose bromo group is substituted by a cyano group by treatment with NaCN in DMSO giving derivative (VIII). Finally, condensation of (VIII) with 4-morpholinobutyric acid hydrochloride (IX) by means of DCC in dichloromethane provides the target product.

Drug Information Express,Drug R&D,Chemical Database,Patent Search.
Copyright © 2006-2026 Drug Future. All rights reserved.Contact Us