【药物名称】
化学结构式(Chemical Structure):
参考文献No.583443
标题:Synthesis and antitumor activity of duocarmycin derivatives: Modification at the C-7 position of segement-A of A-ring pyrrole compounds
作者:Amishiro, N.; Okamoto, A.; Okabe, M.; Saito, H.
来源:Bioorg Med Chem 2000,8(5),1195
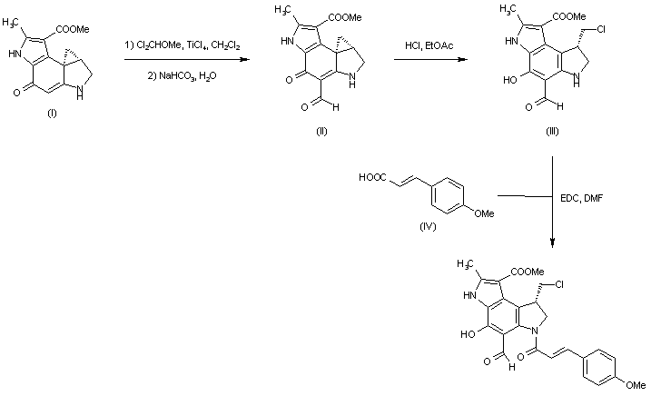
合成路线图解说明:

The segment-A moiety of duocarmycin analogue (I) was formylated with dichloromethyl methyl ether in the presence of TiCl4 to produce aldehyde (II). Opening of the cyclopropane ring of (II) by means of HCl in EtOAc gave rise to chloromethyl compound (III), which was subsequently coupled with 4-methoxycinnamic acid (IV) by means of EDC to furnish the title amide.

Drug Information Express,Drug R&D,Chemical Database,Patent Search.
Copyright © 2006-2026 Drug Future. All rights reserved.Contact Us