【药物名称】
化学结构式(Chemical Structure):
参考文献No.43961
标题:Topoisomerase inhibitors
作者:Denny, W.A.; Deady, L.W.; Kaye, A.J. (La Trobe University)
来源:WO 9845272
合成路线图解说明:

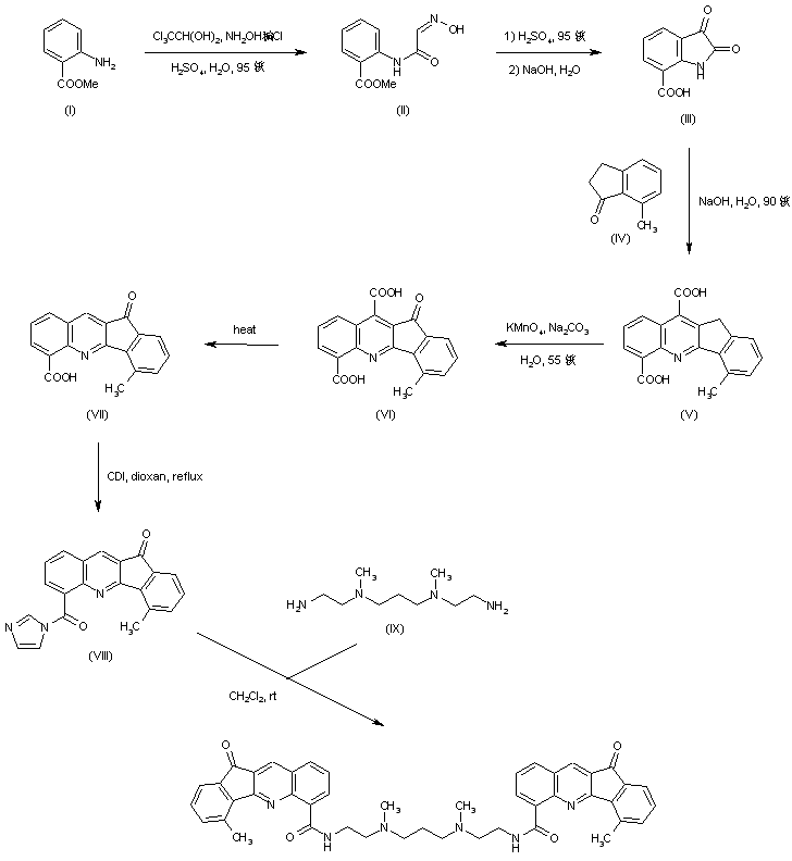
Methyl anthranilate (I) was condensed with chloral hydrate and hydroxylamine to produce the hydroxymino acetamide (II), which was cyclized to the required isatin-7-carboxylic acid (III) in hot concentrated sulfuric acid. The Pfitzinger condensation of isatin (III) with 7-methyl-1-indanone (IV) gave rise to indenoquinoline (V). Ketone (VI) was then obtained by oxidation of (V) with potassium permanganate in the presence of sodium carbonate. Subsequent thermal decarboxylation of diacid (VI) afforded monocarboxylic acid (VII) (1). After activation of acid (VII) as the corresponding imidazolide (VIII) upon treatment with N,N'-carbonyl diimidazole, coupling with tetraamine (IX) furnished the title bisamide.

参考文献No.583431
标题:Synthesis and antitumor activity of some indeno[1,2-b]quinoline-based bis carboxamides
作者:Deady, L.W.; Desneves, J.; Kaye, A.J.; Finlay, G.J.; Baguley, B.C.; Denny, W.A.
来源:Bioorg Med Chem 2000,8(5),977
合成路线图解说明:

Methyl anthranilate (I) was condensed with chloral hydrate and hydroxylamine to produce the hydroxymino acetamide (II), which was cyclized to the required isatin-7-carboxylic acid (III) in hot concentrated sulfuric acid. The Pfitzinger condensation of isatin (III) with 7-methyl-1-indanone (IV) gave rise to indenoquinoline (V). Ketone (VI) was then obtained by oxidation of (V) with potassium permanganate in the presence of sodium carbonate. Subsequent thermal decarboxylation of diacid (VI) afforded monocarboxylic acid (VII) (1). After activation of acid (VII) as the corresponding imidazolide (VIII) upon treatment with N,N'-carbonyl diimidazole, coupling with tetraamine (IX) furnished the title bisamide.

Drug Information Express,Drug R&D,Chemical Database,Patent Search.
Copyright © 2006-2026 Drug Future. All rights reserved.Contact Us