【药物名称】
化学结构式(Chemical Structure):
参考文献No.583332
标题:9-Benzylpurines with inhibitory activity against Mycobacterium tuberculosis
作者:Bakkestuen, A.K.; Gundersen, L.-L.; Langli, F.; Nolsoe, J.M.J.
来源:Bioorg Med Chem Lett 2000,10(11),1207
合成路线图解说明:

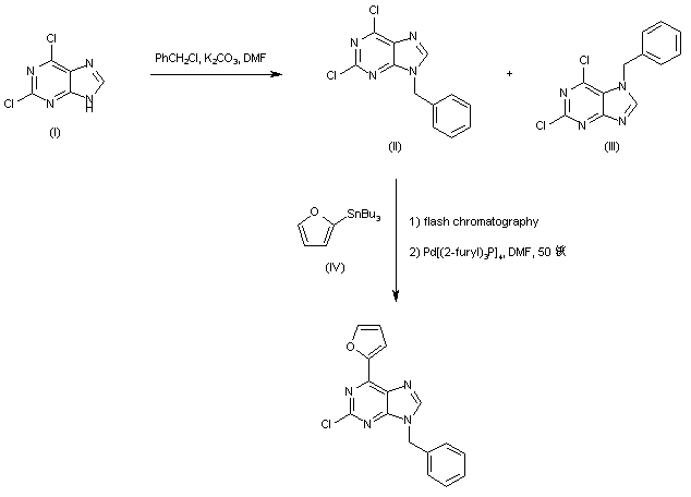
2,6-Dichloropurine (I) was N-alkylated with benzyl chloride to give a 7:3 mixture of 9-benzyl-2,6-dichloropurine (II) and the 7-benzylated isomer (III). After chromatographic isolation of the desired 9-benzyl purine (II), Stille coupling with the 2-furyltin reagent (IV) in the presence of palladium catalyst furnished the corresponding 6-furylpurine.

参考文献No.589005
标题:Regiochemistry in Stille couplings of 2,6-dihalopurines
作者:Langli, G.; et al.
来源:Tetrahedron 1996,52(15),5625
合成路线图解说明:

2,6-Dichloropurine (I) was N-alkylated with benzyl chloride to give a 7:3 mixture of 9-benzyl-2,6-dichloropurine (II) and the 7-benzylated isomer (III). After chromatographic isolation of the desired 9-benzyl purine (II), Stille coupling with the 2-furyltin reagent (IV) in the presence of palladium catalyst furnished the corresponding 6-furylpurine.

参考文献No.656644
标题:Synthesis and antimycobacterial activity of 6-arylpurines: The requirements for the N-9 substituent in active antimycobacterial purines
作者:Gundersen, L.-L.; Nissen-Meyer, J.; Spilsberg, B.
来源:J Med Chem 2002,45(6),1383
合成路线图解说明:

2,6-Dichloropurine (I) was N-alkylated with benzyl chloride to give a 7:3 mixture of 9-benzyl-2,6-dichloropurine (II) and the 7-benzylated isomer (III). After chromatographic isolation of the desired 9-benzyl purine (II), Stille coupling with the 2-furyltin reagent (IV) in the presence of palladium catalyst furnished the corresponding 6-furylpurine.

Drug Information Express,Drug R&D,Chemical Database,Patent Search.
Copyright © 2006-2026 Drug Future. All rights reserved.Contact Us