【药物名称】
化学结构式(Chemical Structure):
参考文献No.583330
标题:The design and synthesis of potent cyclic peptide VCAM-VLA-4 antagonists incorporating an achiral Asp-Pro mimetic
作者:Fotouhi, N.; Joshi, P.; Fry, D.; Cook, C.; Tilley, J.W.; Kaplan, G.; Hanglow, A.; Rowan, K.; Schwinge, V.; Wolitzky, B.
来源:Bioorg Med Chem Lett 2000,10(11),1171
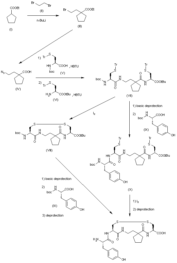
合成路线图解说明:

Alkylation of cyclopentane carboxylic acid ethyl ester (I) by treatment with dibromoethane (II) in the presence of BuLi in THF affords derivative (III), which is then converted into azide (IV) by first hydrolysis of ethyl ester with NaOH in dioxane, followed by reaction with NaN3 in DMF. Coupling of (IV) with protected cysteines (V) and (VI) by means of HBTU yields compound (VII), which is then subjected to simultaneous Trt removal and oxidation by means of iodine in CHCl3/MeOH to provide cystine derivative (VIII). Acid deprotection of (VIII), followed by coupling to protected tyrosine (IX) and final deprotection of the resulting compound, furnishes the desired cyclic cystine compound. Alternatively, (VII) can be first subjected to acid deprotection to allow next coupling with protected tyrosine (IX), furnishing derivative (X), which is finally oxidized with iodine in CHCl3/MeOH and further deprotected to afford the target cyclic cystine derivative.

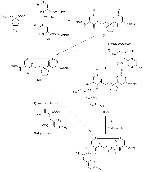
合成路线图解说明:

The same synthesis can be performed but following an Fmoc/tBu strategy: Derivative (IV) is coupled to cysteines (XI) and (VI) by means of HBTU to yield compound (XII), which is then subjected to simultaneous Trt removal and oxidation by means of iodine in CHCl3/MeOH to provide cystine derivative (XIII). Basic deprotection of (XIII) followed by coupling to protected tyrosine (XIV) and final deprotection of the resulting compound furnishes the desired compound. Alternatively, (XII) can be first subjected to basic deprotection to allow next coupling with protected tyrosine (XIV), furnishing derivative (XV), which is finally oxidized with iodine in CHCl3/MeOH and further deprotected to yield the desired cyclic cystine compound.

Drug Information Express,Drug R&D,Chemical Database,Patent Search.
Copyright © 2006-2026 Drug Future. All rights reserved.Contact Us