【药物名称】
化学结构式(Chemical Structure):
参考文献No.583328
标题:SAR of 4-hydroxypiperidine and hydroxyalkyl substituted heterocycles as novel p38 MAP kinase inhibitors
作者:Revesz, L.; Di Padova, F.E.; Buhl, T.; Feifel, R.; Gram, H.; Hiestand, P.; Manning, U.; Zimmerlin, A.G.
来源:Bioorg Med Chem Lett 2000,10(11),1261
合成路线图解说明:

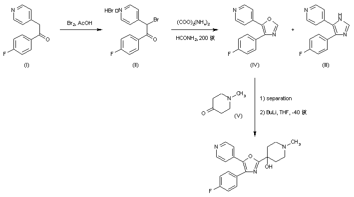
1-(4-Fluorophenyl)-2-(4-pyridyl)ethanone (I) was brominated in HOAc to yield bromoketone (II). Reaction of (II) with ammonium oxalate in formamide at 200 C produced a 1:1 mixture of imidazole (III) and oxazole (IV). After isolation of the desired oxazole (IV), its lithiation with n-butyllithium followed by addition to N-methyl-4-piperidinone (V) furnished the corresponding carbinol .

Drug Information Express,Drug R&D,Chemical Database,Patent Search.
Copyright © 2006-2026 Drug Future. All rights reserved.Contact Us