【药物名称】JMV-1802
化学结构式(Chemical Structure):
参考文献No.583187
标题:Synthesis and biological evaluation of bombesin constrained analogues
作者:Cristau, M.; Devin, C.; Oiry, C.; Chaloin, O.; Amblard, M.; Bernad, N.; Heitz, A.; Fehrentz, J.A.; Martinez, J.
来源:J Med Chem 2000,43(12),2356
合成路线图解说明:

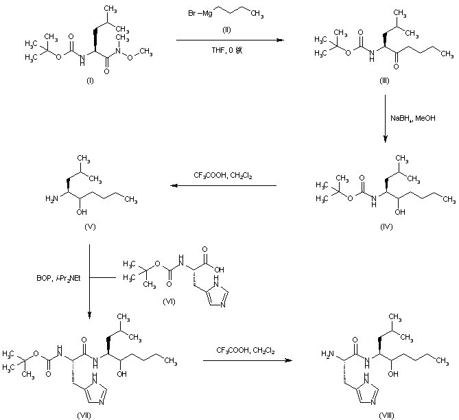
Butylmagnesium bromide (II) was added to the Weinreb amide of Boc-L-leucine (I), yielding ketone (III), which was further reduced with NaBH4 to give alcohol (IV) as a diastereomeric mixture. The Boc protecting group of (IV) was removed employing trifluoroacetic acid in CH2Cl2, and the resulting amino alcohol (V) was coupled with N-Boc-L-histidine (VI) by means of BOP reagent to afford amide (VII). Deprotection of the Boc group of (VII) with trifluoroacetic acid then furnished the target C-terminal fragment (VIII).

合成路线图解说明:

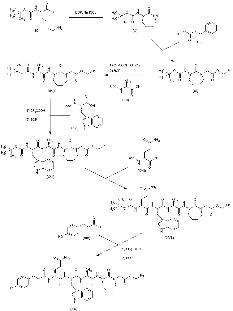
Azepinone (X) was obtained by cyclization of Boc-L-lysine (IX) in the presence of NaHCO3 and BOP reagent. Subsequent alkylation of the lactam nitrogen of (X) with benzyl bromoacetate (XI) afforded (XII). After Boc deprotection of (XII) with trifluoroacetic acid, coupling with Boc-L-alanine (XIII) gave dipeptide (XIV). This was subjected to a further deprotection and coupling sequence with Boc-L-tryptophan (XV) to give tripeptide (XVI), and then with Boc-L-glutamine (XVII), yielding (XVIII). Acid deprotection of the Boc group of (XVIII), followed by coupling with p-hydroxyphenylpropionic acid (XIX) provided the peptide amide (XX).

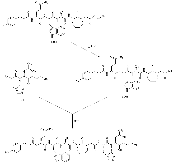
合成路线图解说明:

Deprotection of the benzyl ester group of the N-terminal fragment (XX) by hydrogenolysis provided carboxylic acid (XXI). This was finally coupled with the C-terminal fragment (VIII) employing BOP reagent to furnish the title peptide derivative.

Drug Information Express,Drug R&D,Chemical Database,Patent Search.
Copyright © 2006-2026 Drug Future. All rights reserved.Contact Us