【药物名称】SME-308, SLV-308
化学结构式(Chemical Structure):
参考文献No.43575
标题:New piperazine and piperidine cpds.
作者:Feenstra, R.W.; Visser, G.M.; Van der Heijden, J.A.M.; Long, S.K.; Toorop, G.P.; Van Scharrenburg, G.J.M.; Kruse, C.G.; Mos, J.; Toorop, A.G. (Duphar International Research BV)
来源:WO 0029397
合成路线图解说明:

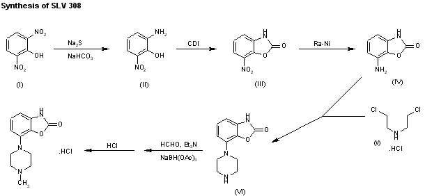
The synthesis of SLV308 was obtained as follows: The first step is the reduction of just one nitro group, which was accomplished by treating 2,6-dinitrophenol (I) with sodium sulfide in the presence of sodium hydrogencarbonate dissolved in a water/MeOH mixture to yield 2-amino-6-nitro-phenol (II) in 62%. To construct the heterocyclic ring, (II) was reacted with carbonyldiimidazole in dry tetrahydrofuran to give the nitro benzoxazolinone (III) almost quantitatively. The reduction of the nitro group of (III) was performed in acetone/Raney-Ni, resulting in the corresponding aniline (IV) (72%). Transforming the aniline (IV) into the piperazine was done by heating (IV) and bis(2-chloroethyl)amine in chlorobenzene at reflux temperature; after 70 hours the desired piperazine (V) was obtained after chromatographic purification in 60% yield. The last step, introduction of the methyl group, was achieved by a reductive amination; formaldehyde, sodium triacetoxyborohydride and triethylamine dissolved in dichloroethane were added to (V). After work-up, chromatographic purification and subsequent treatment with ethanolic HCl, SLV308 was isolated in 81% yield.

参考文献No.608830
标题:SLV308
作者:van Scharrenburg, G.; Feenstra, R.; Long, S.; Koopman, T.; Stoker, M.; de Vries, M.; Ronken, E.; van Charldorp, K.; McCreary, A.
来源:Drugs Fut 2001,26(2),128
合成路线图解说明:

The synthesis of SLV308 was obtained as follows: The first step is the reduction of just one nitro group, which was accomplished by treating 2,6-dinitrophenol (I) with sodium sulfide in the presence of sodium hydrogencarbonate dissolved in a water/MeOH mixture to yield 2-amino-6-nitro-phenol (II) in 62%. To construct the heterocyclic ring, (II) was reacted with carbonyldiimidazole in dry tetrahydrofuran to give the nitro benzoxazolinone (III) almost quantitatively. The reduction of the nitro group of (III) was performed in acetone/Raney-Ni, resulting in the corresponding aniline (IV) (72%). Transforming the aniline (IV) into the piperazine was done by heating (IV) and bis(2-chloroethyl)amine in chlorobenzene at reflux temperature; after 70 hours the desired piperazine (V) was obtained after chromatographic purification in 60% yield. The last step, introduction of the methyl group, was achieved by a reductive amination; formaldehyde, sodium triacetoxyborohydride and triethylamine dissolved in dichloroethane were added to (V). After work-up, chromatographic purification and subsequent treatment with ethanolic HCl, SLV308 was isolated in 81% yield.

Drug Information Express,Drug R&D,Chemical Database,Patent Search.
Copyright © 2006-2026 Drug Future. All rights reserved.Contact Us