【药物名称】DA-8159
化学结构式(Chemical Structure):
参考文献No.43477
标题:Pyrazolopyrimidinone derivs. for the treatment of impotence
作者:Kim, S.; Kim, H.; Kim, D.S.; Chang, M.S.; Yoo, M.; Lim, J.I.; Ahn, B.O.; Kim, W.; Kim, I.Y.; Lim, T.K.; Kang, K.K.; Son, M.; Doh, M.; Shim, H.; Oh, T.; Kim, D.G. (Dong-A Pharmaceutical Co., Ltd.)
来源:EP 1129093; WO 0027848
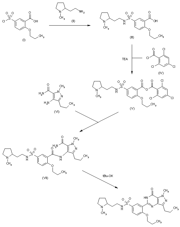
合成路线图解说明:

The reaction of 5-(chlorosulfonyl)-2-propoxybenzoic acid (I) with 2-(1-methylpyrrolidin-2-yl)ethylamine (II) in acetone gives the sulfonamide (III), which is treated with 2,4,6-trichlorobenzozyl chloride (IV) and TEA to afford the active mixed anhydride (V). The condensation of (V) with 4-amino-1-methyl-3-propyl-1H-pyrazole-5-carboxamide (VI) in dichloromethane provides the corresponding carboxamide (VII). Finally, this compound is cyclized by means of tBu-OK in refluxing tert-butanol to furnish the target pyrrolo-pyrimidinone.

参考文献No.56352
标题:A process for preparing pyrazolopyrimidinone derivs. for the treatment of impotence
作者:Kim, S.-H.; Chang, M.-S.; Kim, D.-S.; Yoo, M.-H.; Kim, W.-B.; Bae, C.-J.; Kim, Y.-D.; Kim, E.-H. (Dong-A Pharmaceutical Co., Ltd.)
来源:WO 0198304
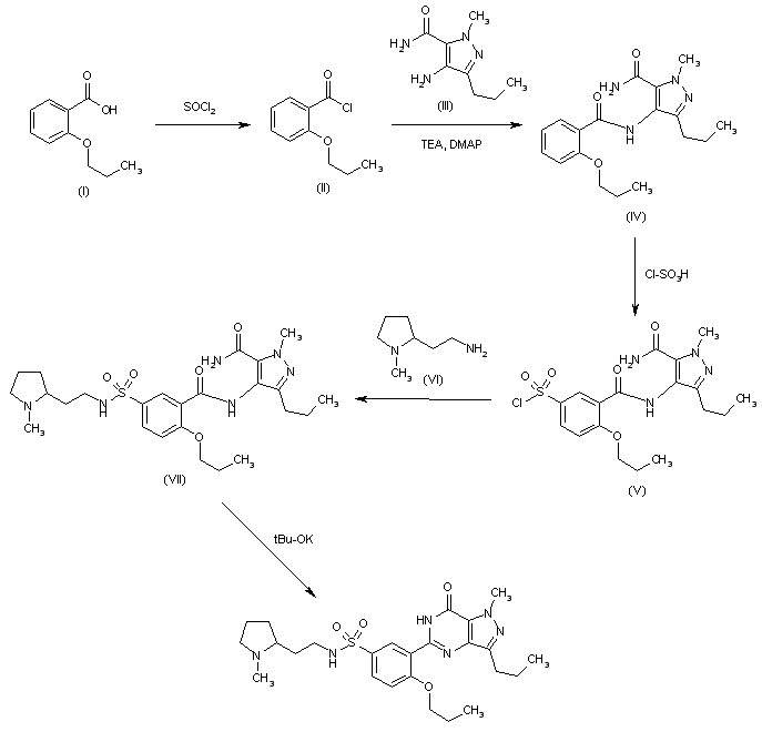
合成路线图解说明:

The reaction of 2-propoxybenzoic acid (I) with SOCl2 in refluxing dichloromethane gives the acyl chloride (II), which is condensed with 4-amino-1-methyl-3-propyl-1H-pyrazole-5-carboxamide (III) by means of TEA and DMAP in dichloromethane to yield the carboxamide (IV). The sulfonation of (IV) with chlorosulfonic acid affords the benzenesulfonyl chloride (V), which is treated with 2-(1-methylpyrrolidin-2-yl)ethylamine (VI) in dichloromethane to afford the sulfonamide (VII). Finally, this compound is cyclized by means of tBu-OK in refluxing tert-butanol to provide the target pyrazolo-pyrimidininone.

Drug Information Express,Drug R&D,Chemical Database,Patent Search.
Copyright © 2006-2026 Drug Future. All rights reserved.Contact Us