【药物名称】
化学结构式(Chemical Structure):
参考文献No.582837
标题:Synthesis and antitumor activity of 4-hydroxy-2-pyridone derivatives
作者:Cocco, M.T.; Congiu, C.; Onnis, V.
来源:Eur J Med Chem 2000,35(5),545
合成路线图解说明:

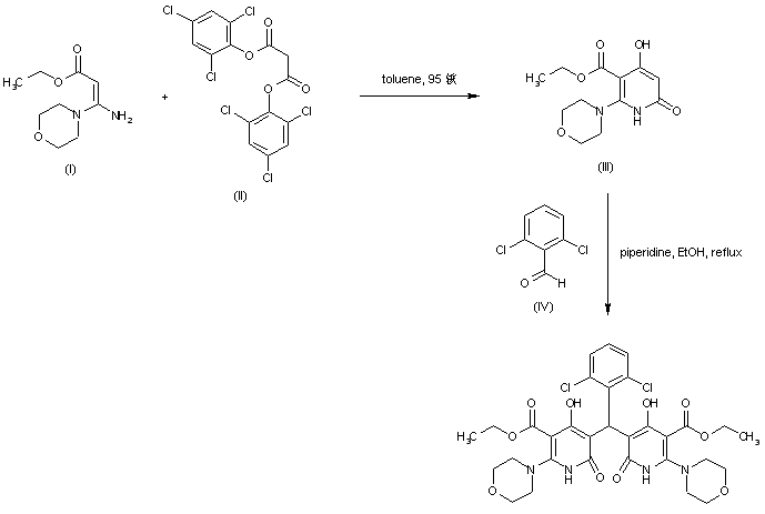
Cyclization of the diaminoacrylate (I) with bis(2,4,6-trichlorophenyl) malonate (II) in hot toluene produced pyridone (III). This was then condensed with 2,6-dichlorobenzaldehyde (IV) in the presence of piperidine in refluxing EtOH to furnish the title bis-pyridyl derivative.

Drug Information Express,Drug R&D,Chemical Database,Patent Search.
Copyright © 2006-2026 Drug Future. All rights reserved.Contact Us