【药物名称】
化学结构式(Chemical Structure):
参考文献No.582843
标题:Quinonic derivatives active against a virulent strain of Toxoplasma gondii. Synthesis of 2-methylfuro[2,3-g]- and [3,2-g]isoquinolinetriones
作者:Nebois, P.; Sarciron, M.E.; Bibal, B.; Bouammali, B.; Cherkaoui, O.; Pautet, F.; Petavy, A.F.; Walchshofer, N.; Fillion, H.
来源:Bioorg Med Chem Lett 2000,10(9),871
合成路线图解说明:

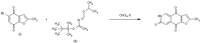
The title furoisoquinoline was synthesized by regioselective [4+2] cycloaddition between 5-bromo-2-methylbenzo[b]furan-4,7-dione (I) and 3-(tert-butyldimethylsilyloxy)-1-isopropoxy-2-aza-buta-1,3-diene (II), with simultaneous desilylation under the reaction conditions.

Drug Information Express,Drug R&D,Chemical Database,Patent Search.
Copyright © 2006-2026 Drug Future. All rights reserved.Contact Us