【药物名称】NNC-26-1167
化学结构式(Chemical Structure):
参考文献No.582876
标题:Growth hormone secretagogues derived from NN703 with hydrazides as c-terminal
作者:Ankersen, M.; Nielsen, K.K.; Hansen, T.K.; Raun, K.; Hansen, B.S.
来源:Eur J Med Chem 2000,35(5),487
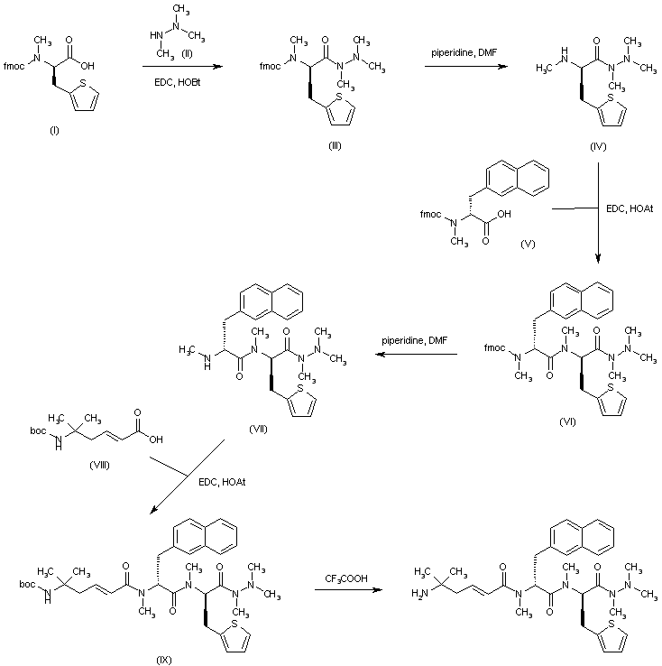
合成路线图解说明:

The title compound was prepared by stepwise peptide synthesis starting from N-Fmoc-N-methyl-D-thienylalanine (I), which was condensed with trimethyl hydrazine (II) to give hydrazide (III). Removal of the Fmoc protecting group with piperidine in DMF provided amine (IV), which was subsequently coupled with N-methyl-D-naphthylalanine (V) in the presence of EDC and HOAt to furnish the dipeptide hydrazide (VI). After removal of the Fmoc group of (VI) with piperidine, the resulting amine (VII) was coupled with N-Boc-5-amino-5-methylhex-2-enoic acid (VIII), yielding amide (IX). Final deprotection of the Boc group of (IX) using trifluoroacetic acid afforded the title compound.

Drug Information Express,Drug R&D,Chemical Database,Patent Search.
Copyright © 2006-2026 Drug Future. All rights reserved.Contact Us