【药物名称】
化学结构式(Chemical Structure):
参考文献No.29799
标题:Novel heterocyclic derivs., process for producing the same, and medicinal use thereof
作者:Matsui, H.; Kamiya, S.; Shirahase, H.; Nakamura, S.; Wada, K. (Kyoto Pharmaceutical Industries, Ltd.)
来源:EP 0782986; JP 1996092210; US 5990150; WO 9609287
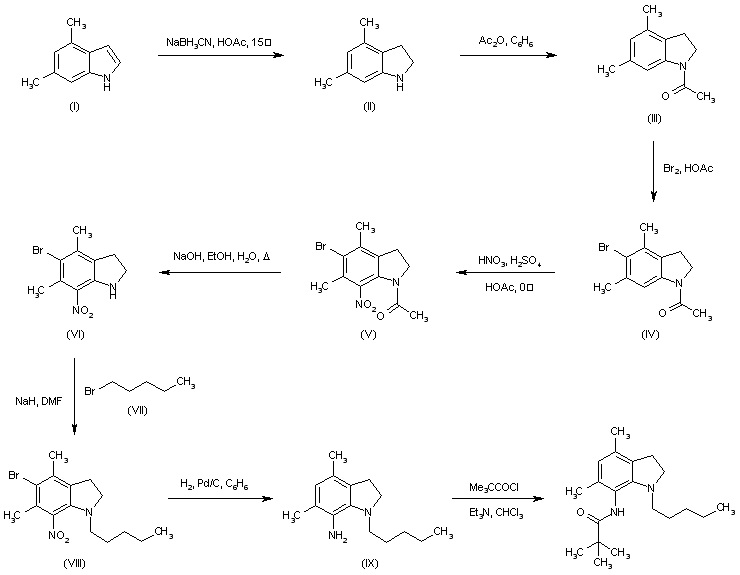
合成路线图解说明:

The reduction of 4,6-dimethylindole (I) with NaBH3CN in AcOH produced indoline (II), which was acetylated with Ac2O to give amide (III). Introduction of a blocking group at position 5 of (III) was effected by bromination in AcOH, yielding (IV). Then, nitration of (IV) with HNO3/H2SO4 furnished the 7-nitroindoline (V). After basic hydrolysis of the acetamide group of (V), the resulting indoline (VI) was N-alkylated with n-pentyl bromide (VII) and NaH to afford (VIII). Reduction of the nitro group of (VIII) with simultaneous hydrogenolysis of the bromine atom was carried out by hydrogenation over Pd/C to produce amino indoline (IX). Finally, the title amide was obtained by coupling of (IX) with pivaloyl chloride in the presence of Et3N.

合成路线图解说明:

Indole derivative (I) is converted into acetyl indoline (II) by first reduction with NaBH3CN in HOAc followed by acetylation with Ac2O in benzene or in CHCl3. Bromination of (II) with Br2 in HOAc yields derivative (III), which is then nitrated with fuming nitric acid in H2SO4/HOAc or with HNO3/Ac2O to afford nitroindoline (IV). Removal of the acetyl group of (IV) by means of NaOH or HCl in MeOH, followed by alkylation of the resulting indoline with NaH and octyl iodide (V) or octyl bromide (VI) in DMF, provides derivative (VII). Hydrogenation of (VII) over Pd/C in MeOH or benzene yields aminoindoline derivative (VIII), which is finally condensed with pivaloyl chloride (IX) in CHCl3 in the presence of Et3N to furnish the desired compound. Alternatively, conversion of (IV) into the target compound can be achieved as follows: Hydrogenation of the nitro moiety of (IV) over Pd/C in MeOH gives acetyl aminoindoline derivative (X), which is then coupled to pivaloyl chloride (IX) in CHCl3 in the presence of Et3N to afford derivative (XI). Finally, (XI) is hydrolyzed with NaOH in MeOH and the resulting secondary amide is condensed with octyl bromide (VI) in DMF in the presence of K2CO3.

参考文献No.582833
标题:Bioavailable acyl-CoA: Cholesterol acyltransferase inhibitor with anti-peroxidative activity: Synthesis and biological activity of novel indolinyl amide and urea derivatives
作者:Kamiya, S.; Shirahase, H.; Yoshimi, A.; Nakamura, S.; Kanda, M.; Matsui, H.; Kasai, M.; Takahashi, K.; Kurahashi, K.
来源:Chem Pharm Bull 2000,48(6),817
合成路线图解说明:

4,6-Dimethylindole (I) is reduced to the corresponding indoline (II) with NaBH3CN in AcOH. After acylation with Ac2O, the resultant N-acetylindoline (III) is brominated by means of Br2 in AcOH to give the 5-bromoindoline derivative (IV). Nitration of (IV) with fuming HNO3 in H2SO4/AcOH provides the 7-nitro indoline (V). Then, simultaneous debromination and nitro group reduction in (V) is accomplished by hydrogenation in the presence of Pd/C to furnish aniline (VI). Further acylation of (VI) with pivaloyl chloride leads to diamide (VII). The N-acetyl group of (VII) is selectively removed under alkaline hydrolysis conditions to yield indoline (VIII). Finally, alkylation of (VIII) with 1-bromodecane and K2CO3 furnishes the title compound.

合成路线图解说明:

Indole derivative (I) is converted into acetyl indoline (II) by first reduction with NaBH3CN in HOAc followed by acetylation with Ac2O in benzene or in CHCl3. Bromination of (II) with Br2 in HOAc yields derivative (III), which is then nitrated with fuming nitric acid in H2SO4/HOAc or with HNO3/Ac2O to afford nitroindoline (IV). Removal of the acetyl group of (IV) by means of NaOH or HCl in MeOH, followed by alkylation of the resulting indoline with NaH and octyl iodide (V) or octyl bromide (VI) in DMF, provides derivative (VII). Hydrogenation of (VII) over Pd/C in MeOH or benzene yields aminoindoline derivative (VIII), which is finally condensed with pivaloyl chloride (IX) in CHCl3 in the presence of Et3N to furnish the desired compound. Alternatively, conversion of (IV) into the target compound can be achieved as follows: Hydrogenation of the nitro moiety of (IV) over Pd/C in MeOH gives acetyl aminoindoline derivative (X), which is then coupled to pivaloyl chloride (IX) in CHCl3 in the presence of Et3N to afford derivative (XI). Finally, (XI) is hydrolyzed with NaOH in MeOH and the resulting secondary amide is condensed with octyl bromide (VI) in DMF in the presence of K2CO3.

Drug Information Express,Drug R&D,Chemical Database,Patent Search.
Copyright © 2006-2026 Drug Future. All rights reserved.Contact Us