【药物名称】JMV-1640
化学结构式(Chemical Structure):
参考文献No.551710
标题:Design and synthesis of potent bradykinin agonists containing a benzothiazepine moiety
作者:Amblard, M.; Daffix, I.; Bedos, P.; Berge, G.; Pruneau, D.; Paquet, J.L.; Luccarini, J.M.; Belichard, P.; Dodey, P.; Martinez, J.
来源:J Med Chem 1999,42(20),4185
合成路线图解说明:

Cleavage of both the Z protecting group and ethyl ester of derivative (IX) with HBr in HOAc, followed by the introduction of a Boc group by treatment with Boc2O in dioxane in the presence of NaOH, affords (X), which is then anchored to the resin via its Cs salt to yield (XI). Deprotection of the amine moiety of (XI) with TFA in the presence of EDT as a scavenger, followed by coupling with Boc-Ser(Bzl)-OH in the presence of BOP and DIEA, affords (XII). The peptidic chain is then elongated by successive deprotection with TFA/EDT and coupling of protected amino acids (Boc-Igl-OH (XIV), Boc-Gly-OH(XVI), Boc-Hyp-OH(XVIII) and Boc-Pro-OH(XX) with BOP/DIEA, providing derivative (XXI). (Scheme 28946801b).

合成路线图解说明:

The peptidic chain is elongated by successive deprotection with TFA/EDT and coupling of protected amino acids (Boc-Arg(Tos)-OH (XXII), Boc-Lys(COOCH2Ph)-OH (XXIV)) with BOP/DIEA, providing derivative (XXIV). (Scheme 28946801c).

合成路线图解说明:

Derivative (XXIV) is finally deprotected and cleaved by a first treatment with TFA/EDT followed by HF in the presence of anisole. (Schemes 28946801d).

合成路线图解说明:

Cleavage of both the Z protecting group and ethyl ester of derivative (IX) with HBr in AcOH, followed by introduction of a Boc group by treatment with Boc2O in dioxane in the presence of NaOH, affords (X), which is then anchored to the resin via its Cs salt to yield (XI). Deprotection of the amine moiety of (XI) with TFA in the presence of EDT as a scavenger, followed by coupling with Boc-Ser(Bzl)-OH in the presence of BOP and DIEA, affords (XII). The peptidic chain is then elongated by successive deprotection with TFA/EDT and coupling of protected amino acids (Boc-Igl-OH (XIV), Boc-Gly-OH (XVI), Boc-Hyp-OH (XVIII) and Boc-Pro-OH (XX) with BOP/DIEA, providing derivative (XXI). (Scheme 28947001b).

合成路线图解说明:

The peptidic chain is elongated by successive deprotection with TFA/EDT and coupling of protected amino acids (Boc Arg(Tos)-OH (XXII), and Boc-Lys(COOCH2Ph)-OH (XXIV)) with BOP/DIEA, providing derivative (XXV)(Scheme 28947001c).

合成路线图解说明:

The peptidic chain is elongated by deprotection with TFA/EDT and coupling of protected amino acid (Boc-Lys(COOCH2Ph)-OH (XXIV)) with BOP/DIEA, providing derivative (XXVI), which is finally deprotected and cleaved by a first treatment with TFA/EDT followed by HF in the presence of anisole (Scheme 28947001d).

合成路线图解说明:

Synthesis of EN 290154: Cleavage of both the Fmoc protecting group and ethyl ester of (XV) by means of HBr in HOAc followed by Boc protection affords (XVI) which is then anchored to a chloromethylated resin to yield (XVII). Deprotection of dihydro-benzothiazepinone (XVII) with TFA in presence of ethanedithiol, followed by coupling with Boc-Ser-OH by means of BOP/DIEA in CH2Cl2, yields derivative (XVIII). Deprotection of (XVIIII) followed by coupling with intermediate (XIV) in the same conditions described for (XVII) affords derivative (XIX). Next steps include sequencial Boc removal and coupling with Boc-Arg(Tos)-OH and then Boc-Lys(Fmoc)-OH. Finally the product is cleaved from the resin by means of HF/anisole.

参考文献No.582570
标题:A rational approach to the design and synthesis of a new bradykinin B1 receptor antagonist
作者:Bedos, P.; Amblard, M.; Subra, G.; Dodey, P.; Luccarini, J.M.; Paquet, J.L.; Pruneau, D.; Aumelas, A.; Martinez, J.
来源:J Med Chem 2000,43(12),2387
合成路线图解说明:

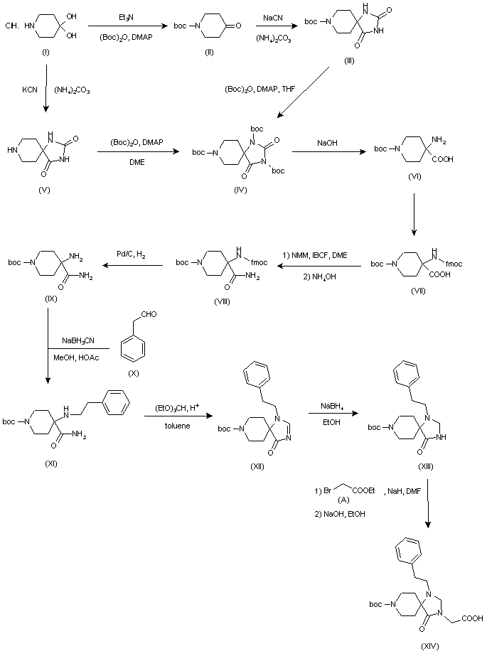
Synthesis of intermediate (XIV): Protection of 4-piperidone (I) with (Boc)2O in presence of DMAP and Et3N yields (II), which is converted into hydantoin (III) by means of NaCN in presence of (NH4)2CO3. Hydantoin (III) is then fully protected to provide (IV) by treatment with (Boc)2O and DMAP in THF. Alternatively (IV) can be obtained by treatment of 4-piperidone (I) with KCN in presence of (NH4)2CO3 to yield hydantoin (V), which is then protected with (Boc)2O and DMAP in DME. Hydrolysis of (IV) with NaOH affords aminoacid (VI) whose free amine is protected to provide carboxylic acid (VII). Treatment of (VII) with isobutyl chloroformate (IBCF) in DME in presence of NMM, followed by aqueous ammonia, yields amide (VIII), which is converted to (IX) by hydrogenation with H2 over Pd/C. Reductive amination of (IX) with aldehyde (X) affords amino amide (XI), which is treated with triethyl orthoformate to provide spirocycle (XII). Reduction of (XII) with NaBH4 in EtOH gives (XIII), which is alkylated with ethyl bromoacetate (A) followed by hydrolysis with NaOH to yield intermediate (XIV).

合成路线图解说明:

Synthesis of EN 290154: Cleavage of both the Fmoc protecting group and ethyl ester of (XV) by means of HBr in HOAc followed by Boc protection affords (XVI) which is then anchored to a chloromethylated resin to yield (XVII). Deprotection of dihydro-benzothiazepinone (XVII) with TFA in presence of ethanedithiol, followed by coupling with Boc-Ser-OH by means of BOP/DIEA in CH2Cl2, yields derivative (XVIII). Deprotection of (XVIIII) followed by coupling with intermediate (XIV) in the same conditions described for (XVII) affords derivative (XIX). Next steps include sequencial Boc removal and coupling with Boc-Arg(Tos)-OH and then Boc-Lys(Fmoc)-OH. Finally the product is cleaved from the resin by means of HF/anisole.

参考文献No.803846
标题:4-Aminopiperidine-4-carboxamylic acid: A cyclic alpha,alpha-disubstituted amino acid for preparation of water-soluble highly helical peptides
作者:Wysong, C.L.; et al.
来源:J Org Chem 1996,61(22),7650-51
合成路线图解说明:

Synthesis of intermediate (XIV): Protection of 4-piperidone (I) with (Boc)2O in presence of DMAP and Et3N yields (II), which is converted into hydantoin (III) by means of NaCN in presence of (NH4)2CO3. Hydantoin (III) is then fully protected to provide (IV) by treatment with (Boc)2O and DMAP in THF. Alternatively (IV) can be obtained by treatment of 4-piperidone (I) with KCN in presence of (NH4)2CO3 to yield hydantoin (V), which is then protected with (Boc)2O and DMAP in DME. Hydrolysis of (IV) with NaOH affords aminoacid (VI) whose free amine is protected to provide carboxylic acid (VII). Treatment of (VII) with isobutyl chloroformate (IBCF) in DME in presence of NMM, followed by aqueous ammonia, yields amide (VIII), which is converted to (IX) by hydrogenation with H2 over Pd/C. Reductive amination of (IX) with aldehyde (X) affords amino amide (XI), which is treated with triethyl orthoformate to provide spirocycle (XII). Reduction of (XII) with NaBH4 in EtOH gives (XIII), which is alkylated with ethyl bromoacetate (A) followed by hydrolysis with NaOH to yield intermediate (XIV).

Drug Information Express,Drug R&D,Chemical Database,Patent Search.
Copyright © 2006-2026 Drug Future. All rights reserved.Contact Us