【药物名称】D-t-EtDO-P4
化学结构式(Chemical Structure):
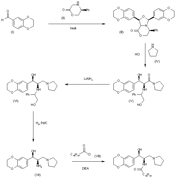
参考文献No.61020
标题:Synthesis of UDP-glucose: N-Acylsphingosine glucosyltransferase inhibitors
作者:Hirth, B.H.; Siegel, C. (Genzyme Corp.)
来源:US 2003050299; WO 0308399
合成路线图解说明:

The condensation of 2,3-dihydrobenzodioxin-6-carbaldehyde (I) with 5(S)-phenylmorpholin-2-one (I) in refluxing toluene gives the adduct (III), which is treated first with pyrrolidine (IV) in chloroform and then with HCl in refluxing methanol to yield the pyrrolidide (V). The reduction of (V) with LiAlH4 in THF affords compound (VI), which is treated with H2 over Pd/C in THF/methanol/water to provide the aminoalcohol (VII). Finally, the amino group of (VII) is acylated by means of palmitoyl chloride (VIII) and DIEA in dichloromethane to furnish the target palmitoylamide.

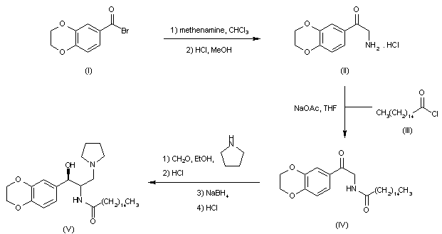
参考文献No.582574
标题:Improved inhibitors of glucosylceramide synthase
作者:Lee, L.; Abe, A.; Shayman, J.A.
来源:J Biol Chem 1999,274(21),14662
合成路线图解说明:

Methenamine is added to a solution of bromide (I) in CHCl3 and after treatment with concentrated HCl, amine (II) is obtained. NaOAc and palmitoyl chloride (III) are added to a solution of (II) in THF to yield derivative (IV) which is finally converted to (V) by treatment with paraformaldehyde and pyrrolidine in ethanol, followed by treatment with concentrated HCl, reduction with NaBH4 and final hydrolysis with diluted HCl.

Drug Information Express,Drug R&D,Chemical Database,Patent Search.
Copyright © 2006-2026 Drug Future. All rights reserved.Contact Us