【药物名称】
化学结构式(Chemical Structure):
参考文献No.43794
标题:Novel thiolesters and uses thereof
作者:Song, Y.; Turpin, J.A.; Huang, M.; Inman, J.K.; Walqvist, A.; Appella, E.; Maynard, A.; Rice, W.G.; Covell, D.G. (US Department of Health & Human Services)
来源:WO 9965871
合成路线图解说明:

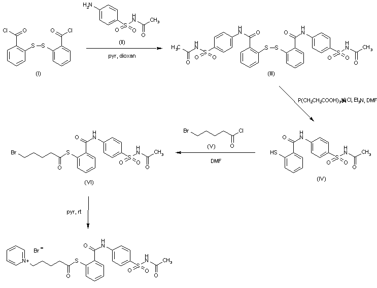
Condensation of 2,2?dithiodibenzoyl chloride (I) with sulfacetamide (II) in pyridine afforded diamide (III). Reductive celavage of the disulfide bond of (III) by means of tris(2-carboxyethyl)phosphine produced the corresponding thiol (IV), which was subsequently acylated with 5-bromovaleryl chloride (V) yielding thioester (VI). Finally, displacement of the bromide with pyridine furnished the title pyridinium salt.

参考文献No.582571
标题:Synthesis and biological properties of novel pyridinioalkanoyl thiolesters (PATE) as anti-HIV-1 agents that target the viral nucleocapsid protein zinc fingers
作者:Turpin, J.A.; Song, Y.; Inman, J.K.; Huang, M.; Wallqvist, A.; Maynard, A.; Covell, D.G.; Rice, W.G.; Appella, E.
来源:J Med Chem 1999,42(1),67
合成路线图解说明:

Condensation of 2,2?dithiodibenzoyl chloride (I) with sulfacetamide (II) in pyridine afforded diamide (III). Reductive celavage of the disulfide bond of (III) by means of tris(2-carboxyethyl)phosphine produced the corresponding thiol (IV), which was subsequently acylated with 5-bromovaleryl chloride (V) yielding thioester (VI). Finally, displacement of the bromide with pyridine furnished the title pyridinium salt.

Drug Information Express,Drug R&D,Chemical Database,Patent Search.
Copyright © 2006-2026 Drug Future. All rights reserved.Contact Us