【药物名称】TER-117
化学结构式(Chemical Structure):
参考文献No.35599
标题:Glutathione analogs and paralog panels comprising glutathione mimics
作者:Kauvar, L.M.; Lyttle, M.H. (Telik, Inc.)
来源:EP 0720620; US 5599903; WO 9508563
合成路线图解说明:

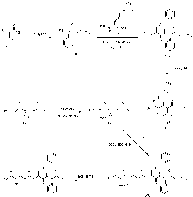
D-Phenylglycine (I) was converted to ethyl ester (II) by means of ethanol and thionyl chloride. Coupling of N-Fmoc-S-benzylcysteine (III) with amino ester (II) produced the protected dipeptide (IV). The Fmoc group of (IV) was then removed by treatment with piperidine in DMF to give (V). N-Fmoc-glutamic acid alpha-benzyl ester (VII) was prepared by reaction of glutamic acid alpha-benzyl ester (VI) with N-(fluorenylmethoxycarbonyloxy)succinimide. Coupling of protected glutamic acid (VII) with dipeptide (V) furnished tripeptide (VIII). The Fmoc and ester protecting groups of (VIII) were finally cleaved by treatment with NaOH.

参考文献No.583505
标题:Isozyme-specific glutathione-S-transferase: Design and synthesis
作者:Lyttle, M.H.; Hocker, M.D.; Hui, H.C.; Caldwell, C.G.; Aaron, D.T.; Engqvist-Goldstein, A.; Flatgaard, J.E.; Bauer, K.E.
来源:J Med Chem 1994,37(1),189
合成路线图解说明:

D-Phenylglycine (I) was converted to ethyl ester (II) by means of ethanol and thionyl chloride. Coupling of N-Fmoc-S-benzylcysteine (III) with amino ester (II) produced the protected dipeptide (IV). The Fmoc group of (IV) was then removed by treatment with piperidine in DMF to give (V). N-Fmoc-glutamic acid alpha-benzyl ester (VII) was prepared by reaction of glutamic acid alpha-benzyl ester (VI) with N-(fluorenylmethoxycarbonyloxy)succinimide. Coupling of protected glutamic acid (VII) with dipeptide (V) furnished tripeptide (VIII). The Fmoc and ester protecting groups of (VIII) were finally cleaved by treatment with NaOH.

Drug Information Express,Drug R&D,Chemical Database,Patent Search.
Copyright © 2006-2026 Drug Future. All rights reserved.Contact Us