【药物名称】AP-22161
化学结构式(Chemical Structure):
参考文献No.43458
标题:Bicyclic signal transduction inhibitors, compsns. containing them & uses thereof
作者:Bohacek, R.; Sawyer, T.K.; Yang, M.G.; Eyermann, C.J.; Sundaramoorthi, R.; Shakespeare, W.C. (Ariad Pharmaceuticals Inc.)
来源:WO 0027802
合成路线图解说明:

Treatment of 6,7,8,9-tetrahydro-5H-benzocyclohepten-2-ol (I) with (bromomethyl)cyclohexane (II) in the presence of Cs2CO3 provided the cyclohexylmethyl ether (III). Regioselective oxidation of (III) by means potassium persulfate gave ketone (IV), which was reduced to alcohol (V) with NaBH4. Azide (VI) was obtained by treatment of alcohol (V) with diphenylphosphoryl azide. Catalytic hydrogenation of azide (VI) in the presence of Boc2O furnished the tert-butyl carbamate (VII). Aromatic bromination of (VII) with N-bromosuccinimide provided bromide (VIII) which, upon lithiation and subsequent quenching with CO2, gave rise to carboxylic acid (IX). Amide (X) was prepared by treatment of acid (IX) with ammonium hydroxide in the presence of EDC and HOBt. The Boc protecting group of (X) was then removed using trifluoroacetic acid to give (XI).

合成路线图解说明:

L-3-Formyl-N-acetyltyrosine methyl ester (XII) was protected as the dithioacetal (XIII) using ethanedithiol and boron trifluoride etherate. After conversion of the phenol group of (XIII) into aryl triflate (XIV) upon treatment with N-phenyltrifluoromethanesulfonimide, its carboxylation with carbon monoxide in MeOH-DMSO in the presence of palladium catalyst generated the methyl ester (XV). Selective hydrolysis of the aliphatic ester of (XV) with LiOH at low temperature provided carboxylic acid (XVI), which was then coupled with the racemic amine (XI) to afford amide (XVII) as a diastereomeric mixture. Hydrolysis of the thioketal group of (XVII) to give aldehyde (XVIII) was achieved by treatment with mercuric perchlorate. The remaining methyl ester of (XVIII) was hydrolyzed with LiOH, and the desired diastereoisomer was finally isolated by RP-HPLC.

合成路线图解说明:

After protection of (I) as the N-Boc derivative (II), sulfonylation of the phenolic hydroxyl groups using N-phenyl-bis(trifluoromethanesulfonimide) produced the bis(triflate) (III). The triflate groups of (III) were then displaced by diethyl phosphite, yielding phosphonate (IV). Hydrolysis of the methyl ester group with LiOH provided the corresponding carboxylic acid (V).

合成路线图解说明:

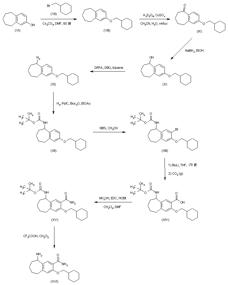
Condensation of 6,7,8,9-tetrahydro-5H-benzocyclohepten-2-ol (VI) with (bromomethyl)cyclohexane (VII) in the presence of Cs2CO3 gave ether (VIII). Benzylic oxidation of (VIII) to provide ketone (IX) was effected by treatment with potassium persulfate in the presence of cupric sulfate. Subsequent reduction of (IX) with NaBH4 yielded alcohol (X), which was converted to azide (XI) using diphenylphosphoryl azide and DBU. Catalytic hydrogenation of the azido group of (XI) in the presence of Boc2O produced carbamate (XII). Bromination of (XII) at position 3 was carried out by means of N-bromosuccinimide in acetonitrile. The resulting aryl bromide (XIII) was lithiated with butyllithium in cold THF and subsequently converted to carboxylic acid (XIV) by quenching with CO2 gas. Coupling of acid (XIV) with ammonia by means of EDC and HOBt afforded amide (XV). The Boc group of (XV) was then removed by treatment with trifluoroacetic acid to furnish the racemic amine (XVI).

合成路线图解说明:

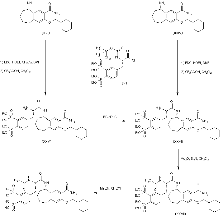
Coupling of carboxylic acid (V) with either the racemic amine (XVI) or the chiral amine (XXIV) in the presence of EDC and HOBt, followed by trifluoroacetic acid-promoted cleavage of the Boc group, furnished the diastereomeric mixture of amides (XXV) or the pure (S,S)-isomer (XXVI), respectively. Isomer (XXVI) was also obtained by separation of the diastereomeric mixture (XXV) by means of preparative reverse-phase HPLC. Acetylation of the amino group of (XXVI) with acetic anhydride gave amide (XXVII). Finally, the ethyl phosphonate esters of (XXVII) were hydrolyzed by means of trimethylsilyl iodide in acetonitrile.

参考文献No.590732
标题:A Src SH2 selective binding compound inhibits osteoclast-mediated resorption
作者:Violette, S.M.; Shakespeare, W.C.; Barlet, C.; Guan, W.; Smith, J.A.; Rickles, R.J.; Bohacek, R.S.; Holt, D.A.; Baron, R.; Sawyer, T.K.
来源:Chem Biol 2000,7(3),225
合成路线图解说明:

L-3-Formyl-N-acetyltyrosine methyl ester (XII) was protected as the dithioacetal (XIII) using ethanedithiol and boron trifluoride etherate. After conversion of the phenol group of (XIII) into aryl triflate (XIV) upon treatment with N-phenyltrifluoromethanesulfonimide, its carboxylation with carbon monoxide in MeOH-DMSO in the presence of palladium catalyst generated the methyl ester (XV). Selective hydrolysis of the aliphatic ester of (XV) with LiOH at low temperature provided carboxylic acid (XVI), which was then coupled with the racemic amine (XI) to afford amide (XVII) as a diastereomeric mixture. Hydrolysis of the thioketal group of (XVII) to give aldehyde (XVIII) was achieved by treatment with mercuric perchlorate. The remaining methyl ester of (XVIII) was hydrolyzed with LiOH, and the desired diastereoisomer was finally isolated by RP-HPLC.

Drug Information Express,Drug R&D,Chemical Database,Patent Search.
Copyright © 2006-2026 Drug Future. All rights reserved.Contact Us