【药物名称】
化学结构式(Chemical Structure):
参考文献No.40910
标题:Prodrugs of benzofuranylmethyl carbamate NK1 antagonists
作者:Chan, O.H.; Chen, M.H.G.; Goel, O.P.; Hershenson, F.M.; Zhu, Z. (Pfizer Inc.)
来源:WO 9952903
合成路线图解说明:

Preparation of the intermediate silver carboxylate salt (V) is by esterification of p-(chloromethyl)benzoic acid (I) employing diazomethane, followed by displacement of the chloro group by NaI-furnished iodo ester (III). Reaction of iodide (III) with silver dibenzyl phosphate produced phosphate ester (IV). The methyl ester group of (IV) was then hydrolyzed with LiOH and subsequently converted to the silver carboxylate salt by means of AgNO3.

合成路线图解说明:

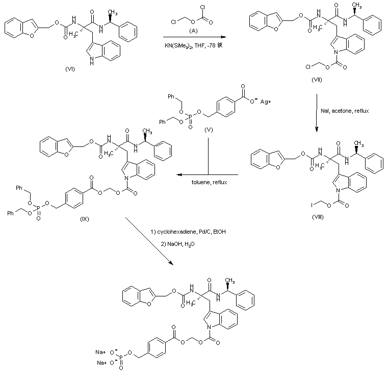
Conversion of the known compound (VI) into the title prodrug is by the following procedure: Treatment of the potassium salt of (VI) with (chloromethyl) chloroformate (A) at -78 C gave the chloromethoxycarbonyl derivative (VII), which was further converted to the iodo analogue (VIII) under Finkelstein conditions. Compound (VIII) was then coupled with the silver carboxylate (V) in refluxing toluene to provide ester (IX). The benzyl ester groups of (IX) were deprotected by transfer hydrogenolysis, and the phosphoric acid derivative was finally treated with NaOH to yield the title sodium phosphate salt.

参考文献No.581816
标题:Phosphate prodrugs of PD154075
作者:Zhu, Z.; Chen, H.G.; Goe, O.P.; Chan, O.H.; Stilgenbauer, L.A.; Stewart, B.H.
来源:Bioorg Med Chem Lett 2000,10(10),1121
合成路线图解说明:

Preparation of the intermediate silver carboxylate salt (V) is by esterification of p-(chloromethyl)benzoic acid (I) employing diazomethane, followed by displacement of the chloro group by NaI-furnished iodo ester (III). Reaction of iodide (III) with silver dibenzyl phosphate produced phosphate ester (IV). The methyl ester group of (IV) was then hydrolyzed with LiOH and subsequently converted to the silver carboxylate salt by means of AgNO3.

合成路线图解说明:

Conversion of the known compound (VI) into the title prodrug is by the following procedure: Treatment of the potassium salt of (VI) with (chloromethyl) chloroformate (A) at -78 C gave the chloromethoxycarbonyl derivative (VII), which was further converted to the iodo analogue (VIII) under Finkelstein conditions. Compound (VIII) was then coupled with the silver carboxylate (V) in refluxing toluene to provide ester (IX). The benzyl ester groups of (IX) were deprotected by transfer hydrogenolysis, and the phosphoric acid derivative was finally treated with NaOH to yield the title sodium phosphate salt.

Drug Information Express,Drug R&D,Chemical Database,Patent Search.
Copyright © 2006-2026 Drug Future. All rights reserved.Contact Us