【药物名称】O-Demethylmurrayafoline A
化学结构式(Chemical Structure):
参考文献No.582589
标题:The first synthesis of optically pure biscarbazoles and determination of their absolute configurations
作者:Zhang, A.; Lin, G.
来源:Tetrahedron Lett 1999,40(2),341
合成路线图解说明:

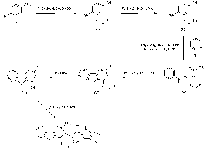
5-Methyl-2-nitrophenol (I) was protected as the benzyl ether (II) employing benzyl bromide and NaOH in DMSO. Reduction of the nitro group of (III) with iron and ammonium chloride afforded aniline (III), which was subsequently coupled with iodobenzene (IV) to furnish the diaryl amine (V). Cyclization of (V) in the presence of Pd(OAc)2 in refluxing AcOH gave rise to carbazole (VI). The benzyl group of (VI) was then removed by catalytic hydrogenation over Pd/C to yield phenol derivative (VII). Finally, the title compound was obtained by oxidative coupling of the phenolic monomer (VII) with di-tert-butyl peroxide in boiling chlorobenzene.

Drug Information Express,Drug R&D,Chemical Database,Patent Search.
Copyright © 2006-2026 Drug Future. All rights reserved.Contact Us