【药物名称】
化学结构式(Chemical Structure):
参考文献No.581797
标题:A new class of highly cytotoxic diketopiperazines
作者:Boger, D.L.; Fink, B.E.; Hedrick, M.P.
来源:Bioorg Med Chem Lett 2000,10(10),1019
合成路线图解说明:

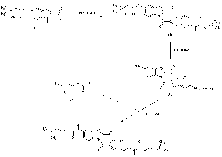
Treatment of the indolecarboxylic acid (I) with EDC in the presence of DMAP gave rise to the dimeric diketopiperazine (II). Acid cleavage of the Boc protecting group of (II) afforded the free diamine (III), which was then coupled with 4-(dimethylamino)butyric acid (IV) using EDC and DMAP to furnish the title diamide.

Drug Information Express,Drug R&D,Chemical Database,Patent Search.
Copyright © 2006-2026 Drug Future. All rights reserved.Contact Us