【药物名称】
化学结构式(Chemical Structure):
参考文献No.581789
标题:Anti-AIDS agents Part 41: Synthesis and anti-HIV activity of 3',4'-di-O-(-)-camphanoyl-(+)-cis-khellactone (DCK) lactam analogues
作者:Yang, Z.-Y.; Xia, Y.; Xia, P.; Brossi, A.; Cosentino, L.M.; Lee, K.-H.
来源:Bioorg Med Chem Lett 2000,10(10),1003
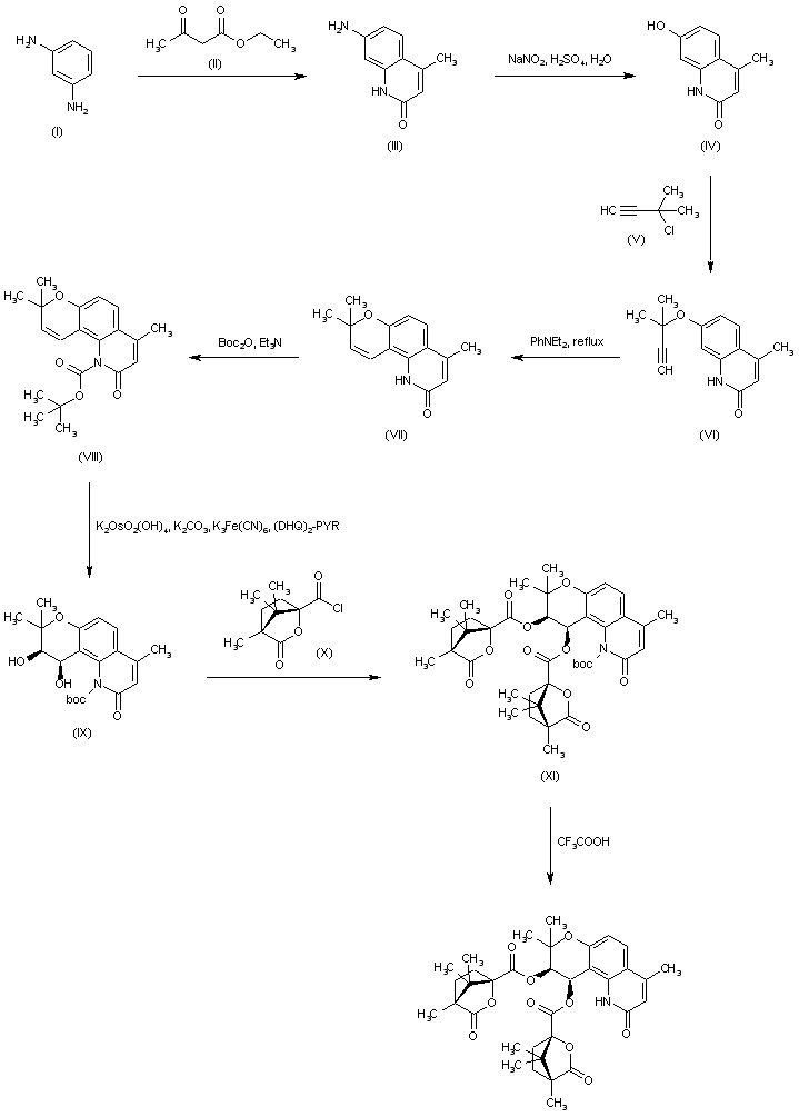
合成路线图解说明:

7-Aminoquinolin-2-one (III) was prepared by Knorr cyclization of m-phenylenediamine (I) with ethyl acetoacetate (II). Subsequent diazotization of (II), followed by acid hydrolysis gave rise to the 7-hydroxyquinolinone (IV). Alkylation of (IV) with 3-chloro-3-methylbut-1-yne (V), followed by Claisen rearrangement of the resulting propargyl ether (V) afforded the pyranoquinolinone (VII). This was protected as the N-Boc derivative (VIII) by treatment with Boc2O and Et3N. Sharpless asymmetric dihydroxylation of (VIII) using dihydroquinine 2,5-diphenyl-4,6-pyrimidinediyl diether ((DHQ)2-PYR) as the chiral catalyst furnished the (R,R)-diol (IX), which was esterified with (-)-(S)-camphanoyl chloride (X) to produce diester (XI). The Boc protecting group of (XI) was finally removed by treatment with trifluoroacetic acid.

Drug Information Express,Drug R&D,Chemical Database,Patent Search.
Copyright © 2006-2026 Drug Future. All rights reserved.Contact Us