【药物名称】HMRZ-62
化学结构式(Chemical Structure):
参考文献No.581331
标题:Novel cephalosporins 2. Synthesis of 3-heterocyclic-fused thiopyranylthiovinyl cephalosporins and antibacterial activity against Methicillin-resistant Staphylococcus aureus and vancomycin-resistant Enterococcus faecalis
作者:Yamazaki, H.; Tsuchida, Y.; Satoh, H.; Kawashima, S.; Hanaki, H.; Hiramatsu, K.
来源:J Antibiot 2000,53(5),551
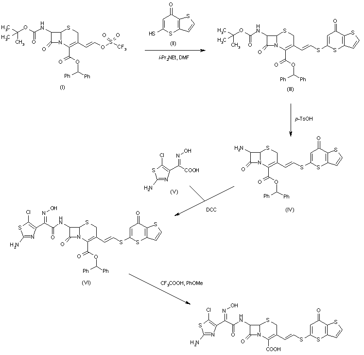
合成路线图解说明:

Condensation of vinyl triflate (I) with 5-mercapto-7-oxo-thienothiopyran (II) in the presence of diisopropylethylamine afforded the thiovinyl cephem (III). The Boc protecting group of (III) was then removed by treatment with p-toluenesulfonic acid to give amine (IV), which was coupled with hydroxyimino acid (V) to furnish amide (VI). Finally, deprotection of (VI) by means of trifluoroacetic acid gave rise to the title compound.

Drug Information Express,Drug R&D,Chemical Database,Patent Search.
Copyright © 2006-2026 Drug Future. All rights reserved.Contact Us