【药物名称】
化学结构式(Chemical Structure):
参考文献No.43557
标题:12,13-Modified epothilone derivs.
作者:Kim, S.-H.K.; Vite, G.D.; Hofle, G. (Bristol-Myers Squibb Co.)
来源:WO 9954318; WO 9954319
合成路线图解说明:

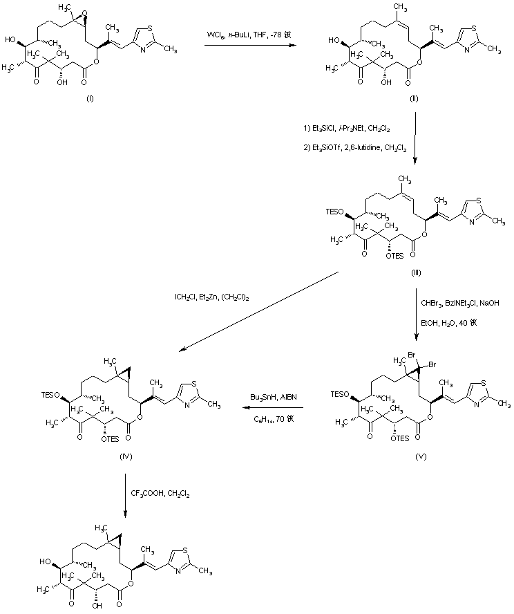
Deoxygenation of epothilone B (I) by means of tungsten hexachloride and butyllithium produced the olefin epothilone D (II). After protection of (II) as the bis-O-silylated derivative (III), cyclopropanation with chloroiodomethane and diethylzinc afforded the cyclopropane adduct (IV). A higher yield procedure to prepare (IV) involved addition of dibromocarbene, generated from bromoform and NaOH under phase-transfer conditions, to olefin (II), followed by reduction of the resulting dibromocyclopropane (V) with azobisisobutyronitrile. Finally, desilylation employing trifluoroacetic acid furnished the title compound.

参考文献No.579440
标题:288555
作者:Johnson, J.; Kim, S.H.; Bifano, M.; DiMarco, J.; Fairchild, C.; Gougoutas, J.; Lee, F.; Long, B.; Tokarski, J.; Vite, G.
来源:Drug Data Rep 2000,22(8),686
合成路线图解说明:

Deoxygenation of epothilone B (I) by means of tungsten hexachloride and butyllithium produced the olefin epothilone D (II). After protection of (II) as the bis-O-silylated derivative (III), cyclopropanation with chloroiodomethane and diethylzinc afforded the cyclopropane adduct (IV). A higher yield procedure to prepare (IV) involved addition of dibromocarbene, generated from bromoform and NaOH under phase-transfer conditions, to olefin (II), followed by reduction of the resulting dibromocyclopropane (V) with azobisisobutyronitrile. Finally, desilylation employing trifluoroacetic acid furnished the title compound.

Drug Information Express,Drug R&D,Chemical Database,Patent Search.
Copyright © 2006-2026 Drug Future. All rights reserved.Contact Us