【药物名称】
化学结构式(Chemical Structure):
参考文献No.579448
标题:Design and synthesis of a transferable farnesyl pyrophosphate analogue to Ras by protein farnesyltransferase
作者:Chehade, K.A.; Andres, D.A.; Morimoto, H.; Spielmann, H.P.
来源:J Org Chem 2000,65(10),3027
合成路线图解说明:

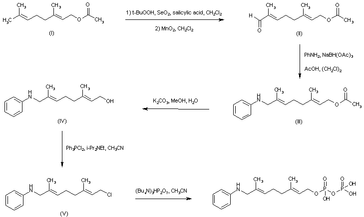
Selective oxidation of geranyl acetate (I) to the unsaturated aldehyde (II) was achieved by means of a two-step procedure with SeO2 and tert-butyl hydroperoxide, followed by treatment with MnO2. Reductive amination of aldehyde (II) with aniline using NaBH(OAc)3 furnished amine (III). After acetate ester hydrolysis in (III) employing K2CO3 in MeOH, the resulting allylic alcohol (IV) was converted to chloride (V) by treatment with triphenylphosphine dichloride. Finally, displacement of the chloride group of (V) with tris(tetra-n-butylammonium)hydrogenpyrophosphate provided the target pyrophosphate ester.

Drug Information Express,Drug R&D,Chemical Database,Patent Search.
Copyright © 2006-2026 Drug Future. All rights reserved.Contact Us