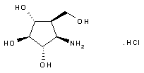
【药物名称】
化学结构式(Chemical Structure):
参考文献No.579257
标题:Synthesis and evaluation of aminocyclopentitol inhibitors of beta-glucosidases
作者:Boss, O.; Leroy, E.; Blaser, A.; Raymond, J.L.
来源:Org Lett 2000,2(2),151
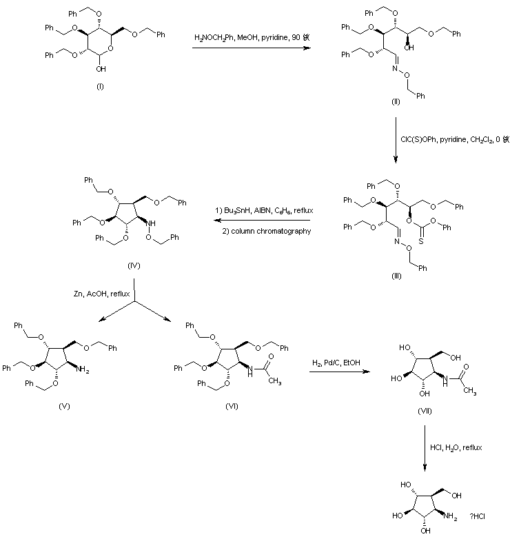
合成路线图解说明:

Tetra-O-benzyl glucose (I) was converted to the hexose oxime (II) upon treatment with O-benzyl hydroxylamine, and the free hydroxyl group of (II) was then condensed with phenyl chlorothioformate to yield the thiocarbonate (III). Radical cyclization of (III) in the presence of tributyltin hydride and azobis(isobutyronitrile), followed by chromatographic separation of the resulting epimeric mixture, furnished the cyclopentyl hydroxylamine derivative (IV). Reductive cleavage of the N-O bond with zinc in HOAc produced a mixture of amine (V) and the corresponding acetamide (VI). While direct hydrogenation of amine (V) only gave mixtures of products, hydrogenation of amide (VI) cleanly afforded the debenzylated compound (VII). Finally, acidic hydrolysis of (VII) gave the title amine as the hydrochloride salt.

Drug Information Express,Drug R&D,Chemical Database,Patent Search.
Copyright © 2006-2026 Drug Future. All rights reserved.Contact Us