【药物名称】JMV-1639
化学结构式(Chemical Structure):
参考文献No.551710
标题:Design and synthesis of potent bradykinin agonists containing a benzothiazepine moiety
作者:Amblard, M.; Daffix, I.; Bedos, P.; Berge, G.; Pruneau, D.; Paquet, J.L.; Luccarini, J.M.; Belichard, P.; Dodey, P.; Martinez, J.
来源:J Med Chem 1999,42(20),4185
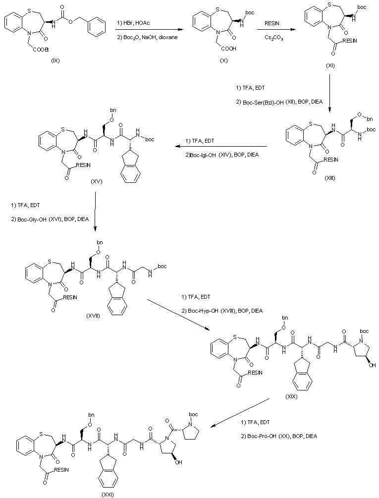
合成路线图解说明:

Cleavage of both the Z protecting group and ethyl ester of derivative (IX) with HBr in HOAc, followed by the introduction of a Boc group by treatment with Boc2O in dioxane in the presence of NaOH, affords (X), which is then anchored to the resin via its Cs salt to yield (XI). Deprotection of the amine moiety of (XI) with TFA in the presence of EDT as a scavenger, followed by coupling with Boc-Ser(Bzl)-OH in the presence of BOP and DIEA, affords (XII). The peptidic chain is then elongated by successive deprotection with TFA/EDT and coupling of protected amino acids (Boc-Igl-OH (XIV), Boc-Gly-OH(XVI), Boc-Hyp-OH(XVIII) and Boc-Pro-OH(XX) with BOP/DIEA, providing derivative (XXI). (Scheme 28946801b).

合成路线图解说明:

The peptidic chain is elongated by successive deprotection with TFA/EDT and coupling of protected amino acids (Boc-Arg(Tos)-OH (XXII), Boc-Lys(COOCH2Ph)-OH (XXIV)) with BOP/DIEA, providing derivative (XXIV). (Scheme 28946801c).

合成路线图解说明:

Derivative (XXIV) is finally deprotected and cleaved by a first treatment with TFA/EDT followed by HF in the presence of anisole. (Schemes 28946801d).

合成路线图解说明:

Cleavage of both the Z protecting group and ethyl ester of derivative (IX) with HBr in AcOH, followed by introduction of a Boc group by treatment with Boc2O in dioxane in the presence of NaOH, affords (X), which is then anchored to the resin via its Cs salt to yield (XI). Deprotection of the amine moiety of (XI) with TFA in the presence of EDT as a scavenger, followed by coupling with Boc-Ser(Bzl)-OH in the presence of BOP and DIEA, affords (XII). The peptidic chain is then elongated by successive deprotection with TFA/EDT and coupling of protected amino acids (Boc-Igl-OH (XIV), Boc-Gly-OH (XVI), Boc-Hyp-OH (XVIII) and Boc-Pro-OH (XX) with BOP/DIEA, providing derivative (XXI). (Scheme 28947001b).

合成路线图解说明:

The peptidic chain is elongated by successive deprotection with TFA/EDT and coupling of protected amino acids (Boc Arg(Tos)-OH (XXII), and Boc-Lys(COOCH2Ph)-OH (XXIV)) with BOP/DIEA, providing derivative (XXV)(Scheme 28947001c).

合成路线图解说明:

The peptidic chain is elongated by deprotection with TFA/EDT and coupling of protected amino acid (Boc-Lys(COOCH2Ph)-OH (XXIV)) with BOP/DIEA, providing derivative (XXVI), which is finally deprotected and cleaved by a first treatment with TFA/EDT followed by HF in the presence of anisole (Scheme 28947001d).

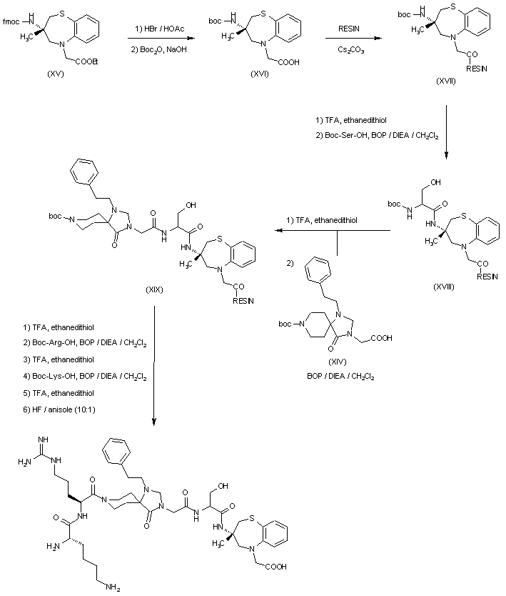
合成路线图解说明:

Synthesis of EN 290154: Cleavage of both the Fmoc protecting group and ethyl ester of (XV) by means of HBr in HOAc followed by Boc protection affords (XVI) which is then anchored to a chloromethylated resin to yield (XVII). Deprotection of dihydro-benzothiazepinone (XVII) with TFA in presence of ethanedithiol, followed by coupling with Boc-Ser-OH by means of BOP/DIEA in CH2Cl2, yields derivative (XVIII). Deprotection of (XVIIII) followed by coupling with intermediate (XIV) in the same conditions described for (XVII) affords derivative (XIX). Next steps include sequencial Boc removal and coupling with Boc-Arg(Tos)-OH and then Boc-Lys(Fmoc)-OH. Finally the product is cleaved from the resin by means of HF/anisole.

参考文献No.580125
标题:Synthesis and biological evaluation of bradykinin B1/B2 and selective B1 receptor antagonists
作者:Amblard, M.; Bedos, P.; Olivier, C.; Daffix, I.; Luccarini, J.M.; Dodey, P.; Pruneau, D.; Paquet, J.L.; Martinez, J.
来源:J Med Chem 2000,43(12),2382
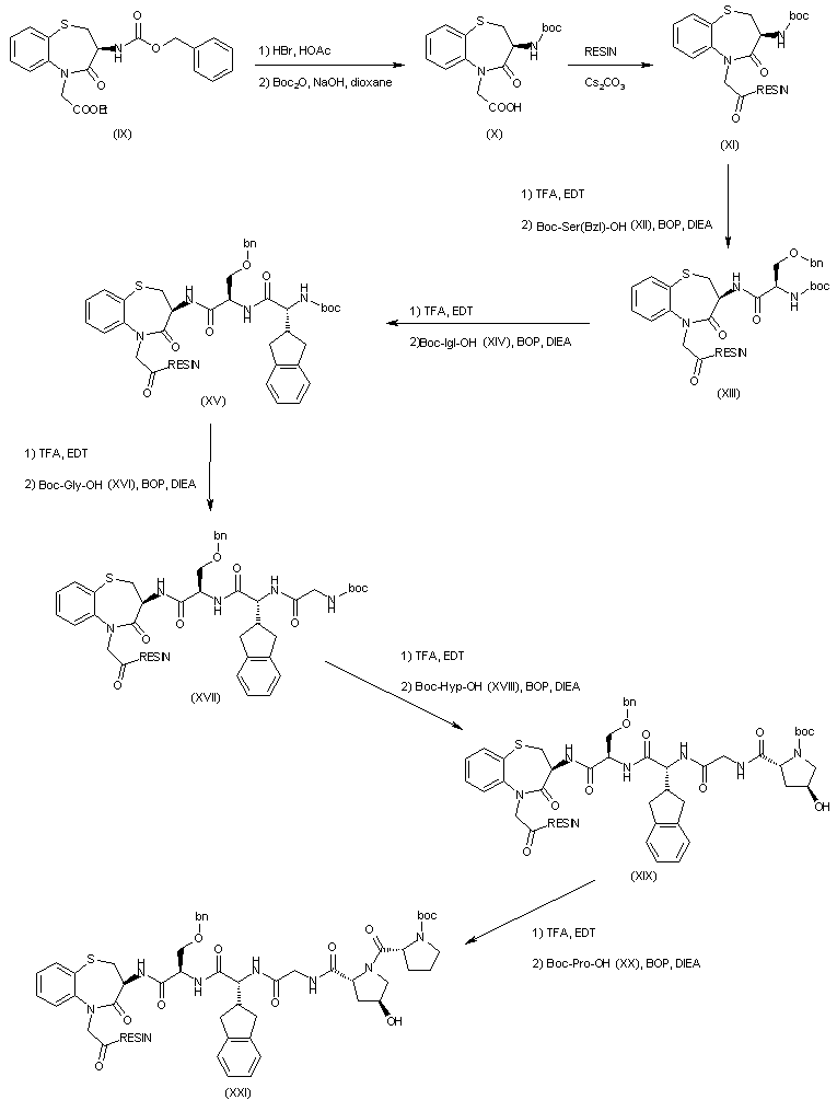
合成路线图解说明:

Cleavage of both the Z protecting group and ethyl ester of derivative (IX) with HBr in HOAc, followed by the introduction of a Boc group by treatment with Boc2O in dioxane in the presence of NaOH, affords (X), which is then anchored to the resin via its Cs salt to yield (XI). Deprotection of the amine moiety of (XI) with TFA in the presence of EDT as a scavenger, followed by coupling with Boc-Ser(Bzl)-OH in the presence of BOP and DIEA, affords (XII). The peptidic chain is then elongated by successive deprotection with TFA/EDT and coupling of protected amino acids (Boc-Igl-OH (XIV), Boc-Gly-OH(XVI), Boc-Hyp-OH(XVIII) and Boc-Pro-OH(XX) with BOP/DIEA, providing derivative (XXI). (Scheme 28946801b).

合成路线图解说明:

The peptidic chain is elongated by successive deprotection with TFA/EDT and coupling of protected amino acids (Boc-Arg(Tos)-OH (XXII), Boc-Lys(COOCH2Ph)-OH (XXIV)) with BOP/DIEA, providing derivative (XXIV). (Scheme 28946801c).

合成路线图解说明:

Derivative (XXIV) is finally deprotected and cleaved by a first treatment with TFA/EDT followed by HF in the presence of anisole. (Schemes 28946801d).

合成路线图解说明:

Cleavage of both the Z protecting group and ethyl ester of derivative (IX) with HBr in AcOH, followed by introduction of a Boc group by treatment with Boc2O in dioxane in the presence of NaOH, affords (X), which is then anchored to the resin via its Cs salt to yield (XI). Deprotection of the amine moiety of (XI) with TFA in the presence of EDT as a scavenger, followed by coupling with Boc-Ser(Bzl)-OH in the presence of BOP and DIEA, affords (XII). The peptidic chain is then elongated by successive deprotection with TFA/EDT and coupling of protected amino acids (Boc-Igl-OH (XIV), Boc-Gly-OH (XVI), Boc-Hyp-OH (XVIII) and Boc-Pro-OH (XX) with BOP/DIEA, providing derivative (XXI). (Scheme 28947001b).

合成路线图解说明:

The peptidic chain is elongated by successive deprotection with TFA/EDT and coupling of protected amino acids (Boc Arg(Tos)-OH (XXII), and Boc-Lys(COOCH2Ph)-OH (XXIV)) with BOP/DIEA, providing derivative (XXV)(Scheme 28947001c).

合成路线图解说明:

The peptidic chain is elongated by deprotection with TFA/EDT and coupling of protected amino acid (Boc-Lys(COOCH2Ph)-OH (XXIV)) with BOP/DIEA, providing derivative (XXVI), which is finally deprotected and cleaved by a first treatment with TFA/EDT followed by HF in the presence of anisole (Scheme 28947001d).

参考文献No.803881
标题:Angiotensin Converting Enzyme Inhibitors: 1,5-Benzothiazepine Derivatives
作者:Slade, J.; Mazzegna, G.C.; Ben-David, D.; Stanton, J.L.
来源:J Med Chem 1985,281517-1521
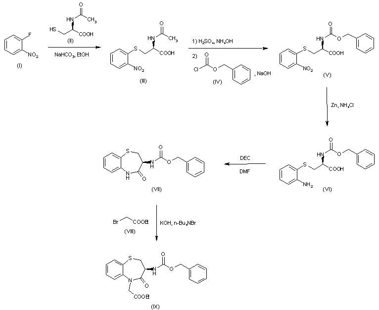
合成路线图解说明:

o-Fluoronitrobenzene (I) is converted into (III) by an aromatic nucleophilic substitution with N-Ac-Cysteine (II) in EtOH in the presence of NaHCO3. Derivative (III) is then deacetylated by means of H2SO4 and NH4OH and reprotected as its Z-form by reaction with (IV) in the presence of NaOH to provide (V). Reduction of the nitro moiety of (V) with Zn in MeOH and in the presence of NH4Cl affords amine (VI), which is then converted into lactam (VII) using 1-[3-(dimethylamino)propyl]-3-ethyl carbodiimide (DEC) hydrochloride in DMF. The next step is alkylation of (VII) with ethyl bromoacetate (VIII) in THF in the presence of KOH and n-Bu4NBr to give (IX) (Scheme 28946801a).

合成路线图解说明:

Aromatic nucleophilic substitution of o-fluoronitrobenzene (I) with N-Ac-cysteine (II) in EtOH in the presence of NaHCO3 yields (III). Derivative (III) is then deacetylated by means of H2SO4 and NH4OH and reprotected as its Z-form by reaction with (IV) in the presence of NaOH to provide (V). Reduction of the nitro moiety of (V) with Zn in MeOH and the presence of NH4Cl affords amine (VI), which is then converted into lactam (VII) using 1-[3-(dimethylamino)propyl]-3-ethyl carbodiimide (DEC) hydrochloride in DMF. The next step is alkylation of (VII) with ethyl bromoacetate (VIII) in THF in the presence of KOH and n-Bu4NBr to give (IX) (1) (Scheme 28947001a). Cleavage of both the Z protecting group and ethyl ester of derivative (IX) with HBr in AcOH, followed by introduction of a Boc group by treatment with Boc2O in dioxane in the presence of NaOH, affords (X), which is then anchored to the resin via its Cs salt to yield (XI). Deprotection of the amine moiety of (XI) with TFA in the presence of EDT as a scavenger, followed by coupling with Boc-Ser(Bzl)-OH in the presence of BOP and DIEA, affords (XII). The peptidic chain is then elongated by successive deprotection with TFA/EDT and coupling of protected amino acids (Boc-Igl-OH, Boc-Gly-OH, Boc-Hyp-OH, Boc-Pro-OH, Boc Arg(Tos)-OH, Boc-Lys(COOCH2Ph)-OH (x2)) with BOP/DIEA, providing derivative (XIV), which is finally deprotected and cleaved by a first treatment with TFA/EDT followed by HF in the presence of anisole (2,3) (Scheme 28947001[b-d]).

Drug Information Express,Drug R&D,Chemical Database,Patent Search.
Copyright © 2006-2026 Drug Future. All rights reserved.Contact Us