【药物名称】Amamistatin A
化学结构式(Chemical Structure):
参考文献No.579187
标题:Total synthesis of amamistatin A, an antiproliferative linear peptide from an actinomycete
作者:Yokokawa, F.; et al.
来源:Tetrahedron 2000,56(19),3027
合成路线图解说明:

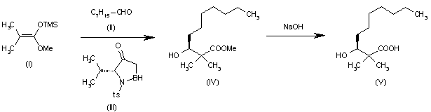
Synthesis of intermediate (V): The condensation of octanal (II) with the trimethylsilyl ether of the enol form of methyl isobutyrate (I) by means of the chiral oxazaborolidinone catalyst (III) in THF gives 3(S)-hydroxy-2,2-dimethyldecanoic acid methyl ester (IV), which is hydrolyzed with NaOH in methanol/water to yield the acid intermediate (V).

合成路线图解说明:

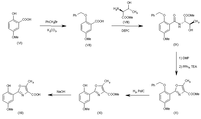
Synthesis of intermediate (XII): The protection of 2-hydroxy-5-methoxybenzoic acid (VI) with benzyl bromide and K2CO3 in DMF gives 2-(benzyloxy)-5-methoxybenzoic acid (VII), which is condensed with L-threonine methyl ester (VIII) by means of (OEt)2P(O)CN (DEPC) and TEA in DMF yielding the corresponding benzamide (IX). The oxidation of (IX) with DMP, followed by cyclization by means of PPh3 and TEA affords 2-[2-(benzyloxy)-5-methoxyphenyl]-5-methyloxazole-4-carboxylic acid methyl ester (X) which is debenzylated with H2 over Pd/C in methanol to the corresponding phenol (XI). Finally the ester group of (XI) is hydrolyzed with NaOH in THF/water to afford the acid intermediate (XII).

合成路线图解说明:

Synthesis of intermediate (XVI): The reaction of the nitrone (XIII) first with hydroxylamine and then with formic acid gives hydroxamate (XIV), which is protected with 2-(trimethylsilylethoxymethyl chloride (A), DIEA and DMAP in CH2Cl2 to affords the protected ester (XV). Finally the methyl ester group of (XV) is hydrolyzed with NaOH in THF/water to afford the acid intermediate (XVI).

合成路线图解说明:

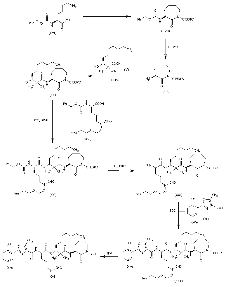
Synthesis of the final product: The cyclization of L-lysine (XVII) according to Miller et al. gives cyclic hydroxamate (XVIII), which is deprotected by hydrogenation with H2 over Pd/C in MeOH yielding 3-amino-1-(tert-butyldiphenylsilyloxy)perhydroazepin-2-one (XIX). The condensation of (XIX) with acid intermediate (V) by means of DEPC and TEA in DMF affords the corresponding amide (XX), which is esterified at its free OH group with acid intermediate (XVI) by means of DCC and DMAP in toluene to provide the ester (XXI). The deprotection of (XXI) with H2 over Pd/C in MeOH gives the amine (XXII), which is acylated with acid intermediate (XII) by means of EDC in CH2Cl2 to furnish the corresponding amide (XXIII). Finally this compound is deprotected with trifluoroacetic acid in CH2Cl2 to give the title product.

参考文献No.603024
标题:Total synthesis of a mycobactin S, a siderophore and growth promoter of Mycobacterium smegmatis, and determination of its growth inhibitory activity against Mycobacterium tuberculosis
作者:Miller, M.J.; Hu, J.
来源:J Am Chem Soc 1997,119(15),3462
合成路线图解说明:

Synthesis of the final product: The cyclization of L-lysine (XVII) according to Miller et al. gives cyclic hydroxamate (XVIII), which is deprotected by hydrogenation with H2 over Pd/C in MeOH yielding 3-amino-1-(tert-butyldiphenylsilyloxy)perhydroazepin-2-one (XIX). The condensation of (XIX) with acid intermediate (V) by means of DEPC and TEA in DMF affords the corresponding amide (XX), which is esterified at its free OH group with acid intermediate (XVI) by means of DCC and DMAP in toluene to provide the ester (XXI). The deprotection of (XXI) with H2 over Pd/C in MeOH gives the amine (XXII), which is acylated with acid intermediate (XII) by means of EDC in CH2Cl2 to furnish the corresponding amide (XXIII). Finally this compound is deprotected with trifluoroacetic acid in CH2Cl2 to give the title product.

Drug Information Express,Drug R&D,Chemical Database,Patent Search.
Copyright © 2006-2026 Drug Future. All rights reserved.Contact Us