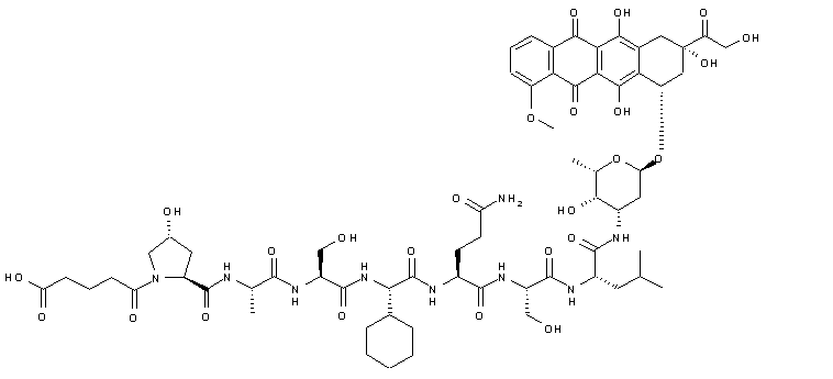
【药物名称】L-377202
化学结构式(Chemical Structure):
参考文献No.36474
标题:Conjugates useful in the treatment of prostate cancer
作者:Garsky, V.M.; Feng, D.-M.; DeFeo-Jones, D. (Merck & Co., Inc.)
来源:JP 2000509407; WO 9818493
合成路线图解说明:

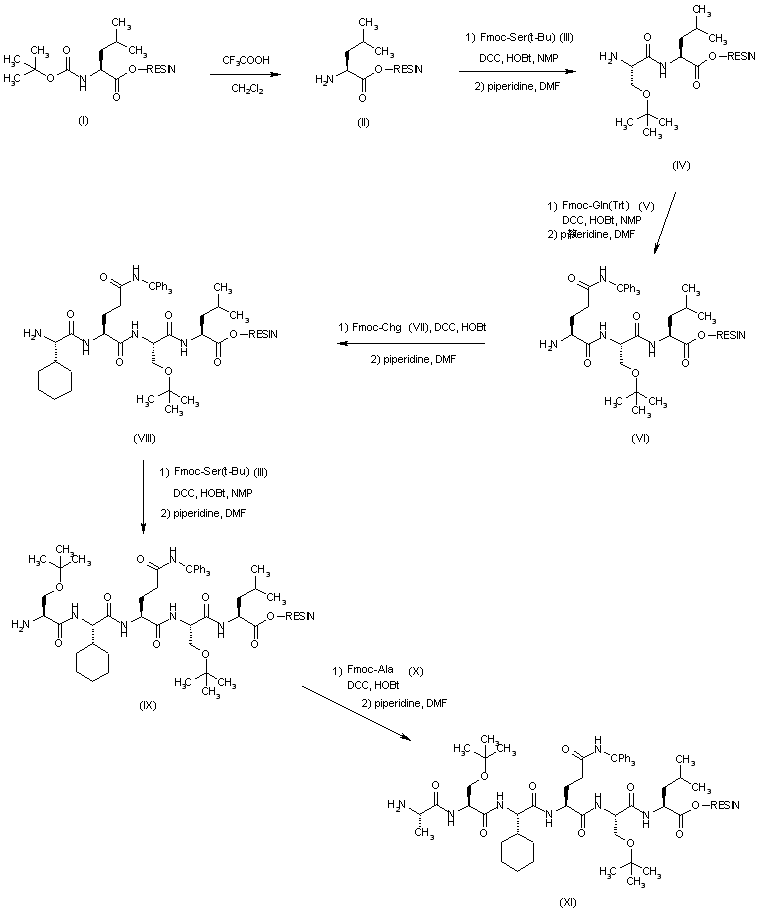
The peptide moiety (XVII) was prepared by solid-phase synthesis in a peptide synthesizer starting from Boc-Leu-PAM resin (I). Removal of the Boc protecting group of (I) was effected by treatment with trifluoroacetic acid in CH2Cl2. To the deprotected Leu-resin (II) were sequentially incorporated the following amino acids: N-Fmoc-L-serine(O-t-Bu) (III), N-Fmoc-L-glutamine(Trt) (V), N-Fmoc-L-cyclohexylglycine (VII), again Fmoc-L-serine(O-t-Bu) (III), and N-Fmoc-L-alanine (X) using DCC and HOBt activation in N-methyl-2-pyrrolidinone, each followed by an Fmoc deprotection cycle with piperidine in DMF. The peptide resins (IV), (VI), (VIII), (IX) and (XI) were in turn obtained.

合成路线图解说明:

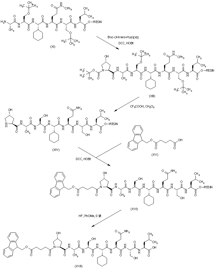
To the peptide resin (XI) was coupled N-Boc-trans-4-hydroxy-L-proline (XII) to produce resin (XIII). Simultaneous removal of the N-terminal and side-chain protecting groups of (XIII) with trifluoroacetic acid in CH2Cl2 furnished the deprotected peptide resin (XIV). Acylation of (XIV) with the mono-fluorenylmethyl ester of glutaric acid (XV) produced amide (XVI). The desired peptide (XVII) was then liberated from the resin (XVI) employing HF in the presence of anisole.

合成路线图解说明:

Coupling of peptide (XVII) to the amino group of doxorubicin (XVIII) using DPPA yielded amide (XIX). Alternatively, EDC in the presence of HOAt can be used as the coupling reagent. The fluorenylmethyl ester of (XIX) was finally removed by treatment with piperidine in DMF to produce the title compound.

参考文献No.45291
标题:A method of treating cancer
作者:Oliff, A.I.; Jones, R.E.; Defeo-Jones, D. (Merck & Co., Inc.)
来源:WO 0059930
合成路线图解说明:

The peptide moiety (XVII) was prepared by solid-phase synthesis in a peptide synthesizer starting from Boc-Leu-PAM resin (I). Removal of the Boc protecting group of (I) was effected by treatment with trifluoroacetic acid in CH2Cl2. To the deprotected Leu-resin (II) were sequentially incorporated the following amino acids: N-Fmoc-L-serine(O-t-Bu) (III), N-Fmoc-L-glutamine(Trt) (V), N-Fmoc-L-cyclohexylglycine (VII), again Fmoc-L-serine(O-t-Bu) (III), and N-Fmoc-L-alanine (X) using DCC and HOBt activation in N-methyl-2-pyrrolidinone, each followed by an Fmoc deprotection cycle with piperidine in DMF. The peptide resins (IV), (VI), (VIII), (IX) and (XI) were in turn obtained.

合成路线图解说明:

To the peptide resin (XI) was coupled N-Boc-trans-4-hydroxy-L-proline (XII) to produce resin (XIII). Simultaneous removal of the N-terminal and side-chain protecting groups of (XIII) with trifluoroacetic acid in CH2Cl2 furnished the deprotected peptide resin (XIV). Acylation of (XIV) with the mono-fluorenylmethyl ester of glutaric acid (XV) produced amide (XVI). The desired peptide (XVII) was then liberated from the resin (XVI) employing HF in the presence of anisole.

合成路线图解说明:

Coupling of peptide (XVII) to the amino group of doxorubicin (XVIII) using DPPA yielded amide (XIX). Alternatively, EDC in the presence of HOAt can be used as the coupling reagent. The fluorenylmethyl ester of (XIX) was finally removed by treatment with piperidine in DMF to produce the title compound.

参考文献No.52091
标题:Salt form of a conjugate useful in the treatment of prostate cancer
作者:Kaufman, M.J.; Almarsson, O.; Nerurkar, M.J.; Lynch, J.E.; Karki, S.B.; Cameron, M.; Lieberman, D.R.; Robbins, M.A.; Shi, Y.-J. (Merck & Co., Inc.)
来源:US 6355611; WO 0130804
合成路线图解说明:

Coupling of peptide (XVII) to the amino group of doxorubicin (XVIII) using DPPA yielded amide (XIX). Alternatively, EDC in the presence of HOAt can be used as the coupling reagent. The fluorenylmethyl ester of (XIX) was finally removed by treatment with piperidine in DMF to produce the title compound.

合成路线图解说明:

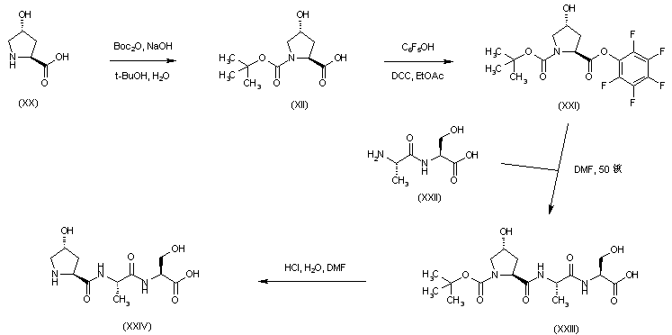
The synthesis of the precursor peptide (XVII) was also reported in solution phase. trans-4-Hydroxy-L-proline (XX) was protected as the N-Boc derivative (XII), which was subsequently activated as the pentafluorophenyl ester (XXI). This was condensed with the dipeptide alanyl-serine (XXII) to furnish the protected tripeptide (XXIII). Acidic cleavage of the Boc protecting group of (XXIII) yielded tripeptide (XXIV).

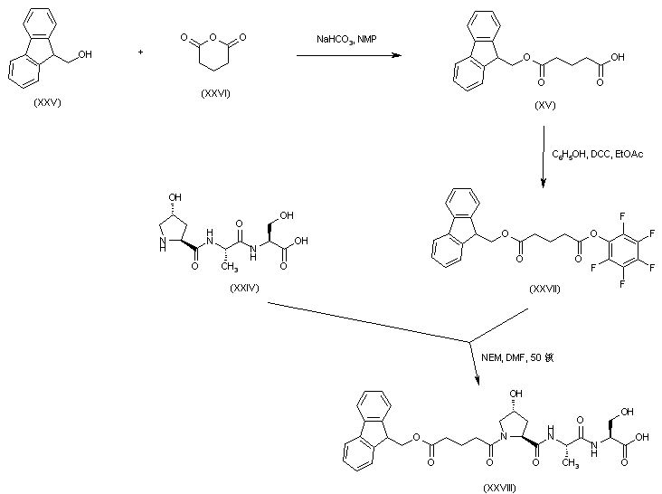
合成路线图解说明:

Acylation of 9-fluorenylmethanol (XXV) with glutaric anhydride (XXVI) yielded the glutarate mono-ester (XV). This was further activated as the pentafluorophenyl ester (XXVII) upon treatment with pentafluorophenol and DCC. Coupling of active ester (XXVII) with tripeptide (XXIV) gave rise to the glutaryl tripeptide (XXVIII).

合成路线图解说明:

Coupling between N-Boc-L-serine (XXIX) and L-leucine benzyl ester (XXX) furnished the Boc-dipeptide (XXXI), which was deprotected by means of a solution of HCl in isopropyl acetate. The resultant seryl-leucine benzyl ester (XXXII) was condensed with N-Boc-L-glutamine (XXXIII) to afford (XXXIV), which after N-Boc deprotection yielded tripeptide ester (XXXV). Further coupling of (XXXV) with N-Boc-L-cyclohexylglycine (XXXVI), followed by acidic deprotection, gave tetrapeptide (XXXVII). This was finally acylated with the glutaryl tripeptide (XXVIII) to provide the desired peptide intermediate (XVII).

参考文献No.641478
标题:The synthesis of a prodrug of doxorubicin designed to provide reduced systemic toxicity and greater target efficacy
作者:Garsky, V.M.; Lumma, P.K.; Feng, D.-M.; Wai, J.; Ramjit, H.G.; Sardana, M.K.; Oliff, A.; Jones, R.E.; DeFeo-Jones, D.; Freidinger, R.M.
来源:J Med Chem 2001,44(24),4216
合成路线图解说明:

The peptide moiety (XVII) was prepared by solid-phase synthesis in a peptide synthesizer starting from Boc-Leu-PAM resin (I). Removal of the Boc protecting group of (I) was effected by treatment with trifluoroacetic acid in CH2Cl2. To the deprotected Leu-resin (II) were sequentially incorporated the following amino acids: N-Fmoc-L-serine(O-t-Bu) (III), N-Fmoc-L-glutamine(Trt) (V), N-Fmoc-L-cyclohexylglycine (VII), again Fmoc-L-serine(O-t-Bu) (III), and N-Fmoc-L-alanine (X) using DCC and HOBt activation in N-methyl-2-pyrrolidinone, each followed by an Fmoc deprotection cycle with piperidine in DMF. The peptide resins (IV), (VI), (VIII), (IX) and (XI) were in turn obtained.

合成路线图解说明:

To the peptide resin (XI) was coupled N-Boc-trans-4-hydroxy-L-proline (XII) to produce resin (XIII). Simultaneous removal of the N-terminal and side-chain protecting groups of (XIII) with trifluoroacetic acid in CH2Cl2 furnished the deprotected peptide resin (XIV). Acylation of (XIV) with the mono-fluorenylmethyl ester of glutaric acid (XV) produced amide (XVI). The desired peptide (XVII) was then liberated from the resin (XVI) employing HF in the presence of anisole.

合成路线图解说明:

Coupling of peptide (XVII) to the amino group of doxorubicin (XVIII) using DPPA yielded amide (XIX). Alternatively, EDC in the presence of HOAt can be used as the coupling reagent. The fluorenylmethyl ester of (XIX) was finally removed by treatment with piperidine in DMF to produce the title compound.

Drug Information Express,Drug R&D,Chemical Database,Patent Search.
Copyright © 2006-2026 Drug Future. All rights reserved.Contact Us