【药物名称】Ospemifene, FC-1271a
化学结构式(Chemical Structure):
参考文献No.28972
标题:Tri-phenyl alkene derivs. and their oestrogenic, anti-oestrogenic and progestanic uses
作者:Toivola, R.J.; Karjalainen, A.J.; Kurkela, K.O.A.; Soderwall, M.-L.; Kangas, L.V.M.; Blanco, G.L.; Sundquist, H.K. (Orion Corporation)
来源:US 4996225; US 5491173
合成路线图解说明:

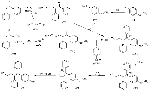
The condensation of desoxybenzoin (I) with tetrahydropyranyl ether (II) in aq. 48% NaOH containing TEBAC gives 1,2-diphenyl-4-(tetrahydropyranyloxy)-1-butanone (III), which by a Grignard condensation with 4-methoxyphenylmagnesium bromide (IV) in THF yields the monoprotected triphenylbutanediol (V). The deprotection of (V) with H2SO4 in ethanol/water at room temperature affords the triphenylbutane-1,4-diol (VI), which is cyclized with H2SO4 in hot ethanol/water to provide 2-(4-methoxyphenyl)-2,3-diphenyltetrahydrofuran (VII). The reaction of (VII) with 48% HBr in refluxing acetic acid gives a mixture of (E)- and (Z)-4-(4-hydroxyphenyl)-3,4-diphenyl-1-butanol that is separated by chemical working up to obtain the desired (Z)-isomer (VIII). The condensation of the phenolic OH of (VIII) with benzyl protected 2-bromoethanol (IX) by means of NaOH and tetrabutylammonium bromide in refluxing toluene/water gives the benzyloxyethyl ether (X). The reaction of the aliphatic OH group of (X) with PPh3 and CCl4 in acetonitrile yields the corresponding chloro derivative (XI), which is finally debenzylated by hydrogenation with H2 over Pd/C in ethyl acetate/ethanol.

合成路线图解说明:

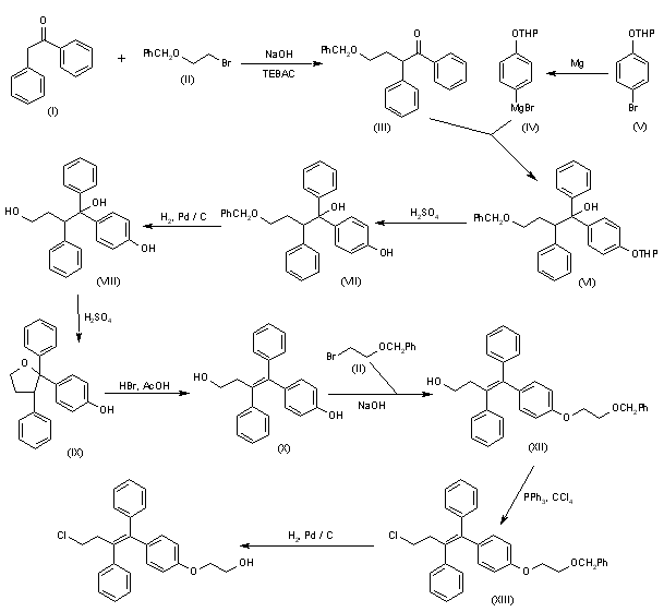
The condensation of desoxybenzoin (I) with 2-(benzyloxy)ethyl bromide (II) by means of aqueous 48% NaOH containing triethylbenzylammonium chloride (TEBAC) gives 4-(benzyloxy)-1,2-diphenyl-1-butanone (III), which by reaction with the Grignard reagent (IV) - prepared from 4-(tetrahydropyranyloxy)phenyl bromide (V) and Mg in THF - yields the triphenylbutanol derivative (VI). Elimination of the THP-protecting group of compound (VI) by means of H2SO4 in ethanol/water at room temperature affords the triphenylbutanol derivative (VII), which is debenzylated by hydrogenation with H2 over Pd/C in ethanol to provide the butane-1,4-diol derivative (VIII). Cyclization of the butane-1,4-diol (VIII) by means of H2SO4 in hot ethanol/water gives 2-(4-hydroxyphenyl)-2,3-diphenyltetrahydrofuran (IX), which is treated with 48% HBr in refluxing AcOH to yield a mixture of (E)- and (Z)-4-(4-hydroxyphenyl)-3,4-diphenyl-3-buten-1-ol (X), which is separated by chemical work up. The phenolic OH group of the desired (Z)-isomer (X) is condensed with 2-(benzyloxy)ethyl bromide (II) by means of NaOH and tetrabutylammonium bromide in refluxing toluene/ water to afford the benzyloxyethyl ether (XII). Reaction of the aliphatic OH group of ether (XII) with PPh3 and CCl4 in acetonitrile provides the corresponding chloro derivative (XIII), which is finally debenzylated with H2 over Pd/C in ethyl acetate/ethanol.

合成路线图解说明:

Condensation of desoxybenzoin (I) with 2-(tetra-hydropyranyloxy)ethyl bromide (XIV) by means of aqueous NaOH and TEBAC as before gives 1,2-diphenyl-4-(tetrahydropyranyloxy)-1-butanone (XV), which by a Grignard condensation with 4-methoxyphenylmagnesium bromide (XVI) -prepared from 4-bromoanisole (XVII) and Mg in THF- provides the triphenylbutanol derivative (XVIII). Cleavage of the THP-protecting group of compound (XVIII) with H2SO4 in ethanol/water at room temperature affords the butane-1,4-diol derivative (XIX), which is cyclized by means of H2SO4 in hot ethanol/ water to yield 2-(4-methoxyphenyl)-2,3-diphenyltetrahydrofuran (XX). Finally, this compound is treated with 48% HBr in refluxing AcOH to give 4-(4-hydroxyphenyl)-3,4-diphenyl-3-buten-1-ol (X) as a (Z):(E)-isomeric mixture, from which the desired (Z)-isomer is separated by chemical work up.

参考文献No.34228
标题:Serum cholesterol lowering agent
作者:H鋜k鰊en, P.; Miettinen, T.; M鋘tyl? E.; Kangas, L.; DeGregorio, M. (Orion Corporation)
来源:WO 9732574
合成路线图解说明:

The condensation of desoxybenzoin (I) with tetrahydropyranyl ether (II) in aq. 48% NaOH containing TEBAC gives 1,2-diphenyl-4-(tetrahydropyranyloxy)-1-butanone (III), which by a Grignard condensation with 4-methoxyphenylmagnesium bromide (IV) in THF yields the monoprotected triphenylbutanediol (V). The deprotection of (V) with H2SO4 in ethanol/water at room temperature affords the triphenylbutane-1,4-diol (VI), which is cyclized with H2SO4 in hot ethanol/water to provide 2-(4-methoxyphenyl)-2,3-diphenyltetrahydrofuran (VII). The reaction of (VII) with 48% HBr in refluxing acetic acid gives a mixture of (E)- and (Z)-4-(4-hydroxyphenyl)-3,4-diphenyl-1-butanol that is separated by chemical working up to obtain the desired (Z)-isomer (VIII). The condensation of the phenolic OH of (VIII) with benzyl protected 2-bromoethanol (IX) by means of NaOH and tetrabutylammonium bromide in refluxing toluene/water gives the benzyloxyethyl ether (X). The reaction of the aliphatic OH group of (X) with PPh3 and CCl4 in acetonitrile yields the corresponding chloro derivative (XI), which is finally debenzylated by hydrogenation with H2 over Pd/C in ethyl acetate/ethanol.

参考文献No.43725
标题:Triphenylethylenes for the prevention and treatment of osteoporosis
作者:Laine, A.; Degregorio, M.; H鋜k鰊en, P.; Wiebe, V.; V滗n鋘en, K.; Kangas, L.V.M. (Orion Corporation)
来源:WO 9607402
合成路线图解说明:

The condensation of desoxybenzoin (I) with tetrahydropyranyl ether (II) in aq. 48% NaOH containing TEBAC gives 1,2-diphenyl-4-(tetrahydropyranyloxy)-1-butanone (III), which by a Grignard condensation with 4-methoxyphenylmagnesium bromide (IV) in THF yields the monoprotected triphenylbutanediol (V). The deprotection of (V) with H2SO4 in ethanol/water at room temperature affords the triphenylbutane-1,4-diol (VI), which is cyclized with H2SO4 in hot ethanol/water to provide 2-(4-methoxyphenyl)-2,3-diphenyltetrahydrofuran (VII). The reaction of (VII) with 48% HBr in refluxing acetic acid gives a mixture of (E)- and (Z)-4-(4-hydroxyphenyl)-3,4-diphenyl-1-butanol that is separated by chemical working up to obtain the desired (Z)-isomer (VIII). The condensation of the phenolic OH of (VIII) with benzyl protected 2-bromoethanol (IX) by means of NaOH and tetrabutylammonium bromide in refluxing toluene/water gives the benzyloxyethyl ether (X). The reaction of the aliphatic OH group of (X) with PPh3 and CCl4 in acetonitrile yields the corresponding chloro derivative (XI), which is finally debenzylated by hydrogenation with H2 over Pd/C in ethyl acetate/ethanol.

合成路线图解说明:

The condensation of desoxybenzoin (I) with 2-(benzyloxy)ethyl bromide (II) by means of aqueous 48% NaOH containing triethylbenzylammonium chloride (TEBAC) gives 4-(benzyloxy)-1,2-diphenyl-1-butanone (III), which by reaction with the Grignard reagent (IV) - prepared from 4-(tetrahydropyranyloxy)phenyl bromide (V) and Mg in THF - yields the triphenylbutanol derivative (VI). Elimination of the THP-protecting group of compound (VI) by means of H2SO4 in ethanol/water at room temperature affords the triphenylbutanol derivative (VII), which is debenzylated by hydrogenation with H2 over Pd/C in ethanol to provide the butane-1,4-diol derivative (VIII). Cyclization of the butane-1,4-diol (VIII) by means of H2SO4 in hot ethanol/water gives 2-(4-hydroxyphenyl)-2,3-diphenyltetrahydrofuran (IX), which is treated with 48% HBr in refluxing AcOH to yield a mixture of (E)- and (Z)-4-(4-hydroxyphenyl)-3,4-diphenyl-3-buten-1-ol (X), which is separated by chemical work up. The phenolic OH group of the desired (Z)-isomer (X) is condensed with 2-(benzyloxy)ethyl bromide (II) by means of NaOH and tetrabutylammonium bromide in refluxing toluene/ water to afford the benzyloxyethyl ether (XII). Reaction of the aliphatic OH group of ether (XII) with PPh3 and CCl4 in acetonitrile provides the corresponding chloro derivative (XIII), which is finally debenzylated with H2 over Pd/C in ethyl acetate/ethanol.

参考文献No.776626
标题:Ospemifene
作者:Sorbera, L.A.; Casta馿r, J.; Bay閟, M.
来源:Drugs Fut 2004,29(1),38
合成路线图解说明:

The condensation of desoxybenzoin (I) with 2-(benzyloxy)ethyl bromide (II) by means of aqueous 48% NaOH containing triethylbenzylammonium chloride (TEBAC) gives 4-(benzyloxy)-1,2-diphenyl-1-butanone (III), which by reaction with the Grignard reagent (IV) - prepared from 4-(tetrahydropyranyloxy)phenyl bromide (V) and Mg in THF - yields the triphenylbutanol derivative (VI). Elimination of the THP-protecting group of compound (VI) by means of H2SO4 in ethanol/water at room temperature affords the triphenylbutanol derivative (VII), which is debenzylated by hydrogenation with H2 over Pd/C in ethanol to provide the butane-1,4-diol derivative (VIII). Cyclization of the butane-1,4-diol (VIII) by means of H2SO4 in hot ethanol/water gives 2-(4-hydroxyphenyl)-2,3-diphenyltetrahydrofuran (IX), which is treated with 48% HBr in refluxing AcOH to yield a mixture of (E)- and (Z)-4-(4-hydroxyphenyl)-3,4-diphenyl-3-buten-1-ol (X), which is separated by chemical work up. The phenolic OH group of the desired (Z)-isomer (X) is condensed with 2-(benzyloxy)ethyl bromide (II) by means of NaOH and tetrabutylammonium bromide in refluxing toluene/ water to afford the benzyloxyethyl ether (XII). Reaction of the aliphatic OH group of ether (XII) with PPh3 and CCl4 in acetonitrile provides the corresponding chloro derivative (XIII), which is finally debenzylated with H2 over Pd/C in ethyl acetate/ethanol.

合成路线图解说明:

Condensation of desoxybenzoin (I) with 2-(tetra-hydropyranyloxy)ethyl bromide (XIV) by means of aqueous NaOH and TEBAC as before gives 1,2-diphenyl-4-(tetrahydropyranyloxy)-1-butanone (XV), which by a Grignard condensation with 4-methoxyphenylmagnesium bromide (XVI) -prepared from 4-bromoanisole (XVII) and Mg in THF- provides the triphenylbutanol derivative (XVIII). Cleavage of the THP-protecting group of compound (XVIII) with H2SO4 in ethanol/water at room temperature affords the butane-1,4-diol derivative (XIX), which is cyclized by means of H2SO4 in hot ethanol/ water to yield 2-(4-methoxyphenyl)-2,3-diphenyltetrahydrofuran (XX). Finally, this compound is treated with 48% HBr in refluxing AcOH to give 4-(4-hydroxyphenyl)-3,4-diphenyl-3-buten-1-ol (X) as a (Z):(E)-isomeric mixture, from which the desired (Z)-isomer is separated by chemical work up.

Drug Information Express,Drug R&D,Chemical Database,Patent Search.
Copyright © 2006-2026 Drug Future. All rights reserved.Contact Us